Skip to main content

Introduction to Exercise Science for Fitness Professionals: Lipid Metabolism

Introduction to Exercise Science for Fitness Professionals
Lipid Metabolism
  • Show the following:

    Annotations
    Resources
  • Adjust appearance:

    Font
    Font style
    Color Scheme
    Light
    Dark
    Annotation contrast
    Low
    High
    Margins
  • Search within:
    • My Notes + Comments
    • Notifications
    • Privacy
  • Project HomeNatural Sciences Collection: Anatomy, Biology, and Chemistry
  • Projects
  • Learn more about Manifold

Notes

table of contents
  1. Cover
  2. Title Page
  3. Copyright
  4. Table Of Contents
  5. Attribution and OER Revision Statement
  6. Chapter 1: Body Systems Review
    1. The Cardiovascular System
    2. The Nervous System
    3. Reflexes
    4. The Skeletal System
    5. Divisions of the Skeletal System
    6. Skeletal Muscle
    7. Divisions of the Skeletal Muscles
    8. Describing Motion and Movements
    9. Identify Anatomical Locations
  7. Chapter 2: Biomechanics and Human Movement
    1. The Basics of Biomechanics
    2. Inertia and Momentum
    3. Force
    4. Doing Work
    5. Body Levers
    6. Nervous System Control of Muscle Tension
    7. Muscle Tissue and Motion
  8. Chapter 3: Exercise Metabolism
    1. Introduction to Bioenergetics and Metabolism
    2. Overview of Metabolic Reactions
    3. Metabolic States of the Body
    4. The Cardiorespiratory System and Energy Production
    5. ATP in Living Systems
    6. Types of Muscle Fibers
    7. Exercise and Muscle Performance
    8. Nutrition, Performance, and Recovery
    9. Carbohydrate Metabolism
    10. Protein Metabolism
    11. Lipid Metabolism
  9. Chapter 4: Fitness Principles
    1. What are Physical Activity and Exercise?
    2. The Physical Activity Guidelines for Americans
    3. Components of Health-Related Fitness
    4. Principles of Adaptation and Stress
    5. FITT Principle
    6. Rest, Recovery, and Periodization
    7. Reversibility
    8. Training Volume
    9. Individual Differences
    10. Creating a Successful Fitness Plan
    11. Additional Safety Concerns
    12. Test Your Knowledge
  10. Chapter 5: Flexibility Training Principles
    1. What is Flexibility?
    2. Benefits of Flexibility and Stretching
    3. Improving Range of Motion
    4. Improving Flexibility
    5. Creating an Effective Stretching Program
    6. Assessing Your Flexibility
    7. Test Your Knowledge
  11. Chapter 6: Cardiorespiratory Training Principles
    1. What are the Cardiovascular and Respiratory Systems?
    2. Introduction: The Cardiovascular System
    3. Introduction: The Respiratory System
    4. The Process of Breathing and Respiratory Function
    5. Modifications to Breathing
    6. Changes in the CR System
    7. Measuring Heart Rate
    8. Measuring Intensity
    9. Cardiorespiratory Fitness Assessment
    10. Test Your Knowledge
  12. Chapter 7: Core and Balance Training Principles
    1. Lumbar Spine
    2. Abdomen
    3. The Pelvic Girdle
    4. Creating Movement at the Hip
    5. Balance
    6. Center of Gravity
    7. Supporting the Body
    8. Friction in Joints
    9. Human Stability
    10. Guidelines for Core and Balance Training
  13. Chapter 8: Plyometrics, Speed, Agility, and Quickness Training Principles
    1. Plyometric Exercises
    2. Variables of Plyometric Training
    3. Progressing a Plyometric Program
    4. Speed, Agility, and Quickness
    5. Speed
    6. Agility
    7. Quickness
  14. Chapter 9: Resistance Training Principles
    1. Resistance Exercise Programming
    2. Exercise Order
    3. Types of Resistance Training
    4. Basics of Form during Resistance Training
    5. Resistance Training Systems
    6. Resistance Training Conclusion
    7. Test Your Knowledge
  15. References
  16. Glossary
  17. MARC Record

27

Lipid Metabolism

Heather Ketchum and Eric Bright

Lipid Metabolism4

Lipid metabolism begins in the intestine where ingested triglycerides are broken down into smaller chain fatty acids and subsequently into monoglyceride molecules (see Figure) by pancreatic lipases, enzymes that break down fats after they are emulsified by bile salts. When food reaches the small intestine in the form of chyme, a digestive hormone called cholecystokinin (CCK) is released by intestinal cells in the intestinal mucosa. CCK stimulates the release of pancreatic lipase from the pancreas and stimulates the contraction of the gallbladder to release stored bile salts into the intestine. CCK also travels to the brain, where it can act as a hunger suppressant.

Triglyceride Broken Down into a Monoglyceride

The top image shows the chemical formula for a triglyceride, and the bottom panel shows the formula for a monoglyceride.A triglyceride molecule (a) breaks down into a monoglyceride (b)

Together, the pancreatic lipases and bile salts break down triglycerides into free fatty acids. These fatty acids can be transported across the intestinal membrane. However, once they cross the membrane, they are recombined to again form triglyceride molecules. Within the intestinal cells, these triglycerides are packaged along with cholesterol molecules in phospholipid vesicles called chylomicrons (Figure). The chylomicrons enable fats and cholesterol to move within the aqueous environment of your lymphatic and circulatory systems. Chylomicrons leave the enterocytes by exocytosis and enter the lymphatic system via lacteals in the villi of the intestine. From the lymphatic system, the chylomicrons are transported to the circulatory system. Once in the circulation, they can either go to the liver or be stored in fat cells (adipocytes) that comprise adipose (fat) tissue found throughout the body.

Chylomicrons

This figure shows a chylomicron containing triglycerides and cholesterol molecules as well as other lipids.

Chylomicrons contain triglycerides, cholesterol molecules, and other apolipoproteins (protein molecules). They function to carry these water-insoluble molecules from the intestine, through the lymphatic system, and into the bloodstream, which carries the lipids to adipose tissue for storage.

Lipolysis

To obtain energy from fat, triglycerides must first be broken down by hydrolysis into their two principal components, fatty acids and glycerol. This process, called lipolysis, takes place in the cytoplasm. The resulting fatty acids are oxidized by β-oxidation or fatty acid oxidation into acetyl CoA, which is used by the Krebs cycle (Figure). The glycerol that is released from triglycerides after lipolysis directly enters the glycolysis pathway as dihydrooxyacetone phosphate (DHAP). Because one triglyceride molecule yields three fatty acid molecules with as much as 16 or more carbons in each one, fat molecules yield more energy than carbohydrates and are an important source of energy for the human body. Triglycerides yield more than twice the energy per unit mass when compared to carbohydrates and proteins. Therefore, when glucose levels are low, triglycerides can be converted into acetyl CoA molecules and used to generate ATP through aerobic respiration.

Breakdown of Fatty Acids

This figure shows the reactions that break down fatty acids.During fatty acid oxidation, triglycerides can be broken down into acetyl CoA molecules and used for energy when glucose levels are low. In addition,excess acetyl CoA is converted to ketones via ketogenesis.

Ketogenesis

If excessive acetyl CoA is created from the oxidation of fatty acids and the Krebs cycle is overloaded and cannot handle it, the acetyl CoA is diverted to create ketone bodies (see Figure). These ketone bodies can serve as a fuel source if glucose levels are too low in the body. Ketones serve as fuel in times of prolonged starvation or when patients suffer from uncontrolled diabetes and cannot utilize most of the circulating glucose. In both cases, fat stores are liberated to generate energy through the Krebs cycle and will generate ketone bodies when too much acetyl CoA accumulates. However, ketones are acids which at high levels can cause the pH of the plasma to become acidic; a condition called ketoacidosis.

Ketone Body Oxidation

Organs that have classically been thought to be dependent solely on glucose, such as the brain, can actually use ketones as an alternative energy source. This keeps the brain functioning when glucose is limited. When ketones are produced faster than they can be used, they can be broken down into CO2 and acetone. The acetone is removed by exhalation. One symptom of ketogenesis is that the patient’s breath smells sweet like alcohol. This effect provides one way of telling if a diabetic is properly controlling the disease. The carbon dioxide produced can acidify the blood, leading to diabetic ketoacidosis, a dangerous condition in diabetics.

Lipogenesis

When glucose levels are plentiful, the excess acetyl CoA generated by glycolysis can be converted into fatty acids, triglycerides, cholesterol, steroids, and bile salts. This process, called lipogenesis, creates lipids (fat) from the acetyl CoA and takes place in the cytoplasm of adipocytes (fat cells) and hepatocytes (liver cells). When you eat more glucose or carbohydrates than your body needs, your system uses acetyl CoA to turn the excess into fat. Although there are several metabolic sources of acetyl CoA, it is most commonly derived from glycolysis. Acetyl CoA availability is significant, because it initiates lipogenesis. Lipogenesis begins with acetyl CoA and advances by the subsequent addition of two carbon atoms from another acetyl CoA; this process is repeated until fatty acids are the appropriate length. Because this is a bond-creating anabolic process, ATP is consumed. However, the creation of triglycerides and lipids is an efficient way of storing the energy available in carbohydrates. Triglycerides and lipids, high-energy molecules, are stored in adipose tissue until they are needed.

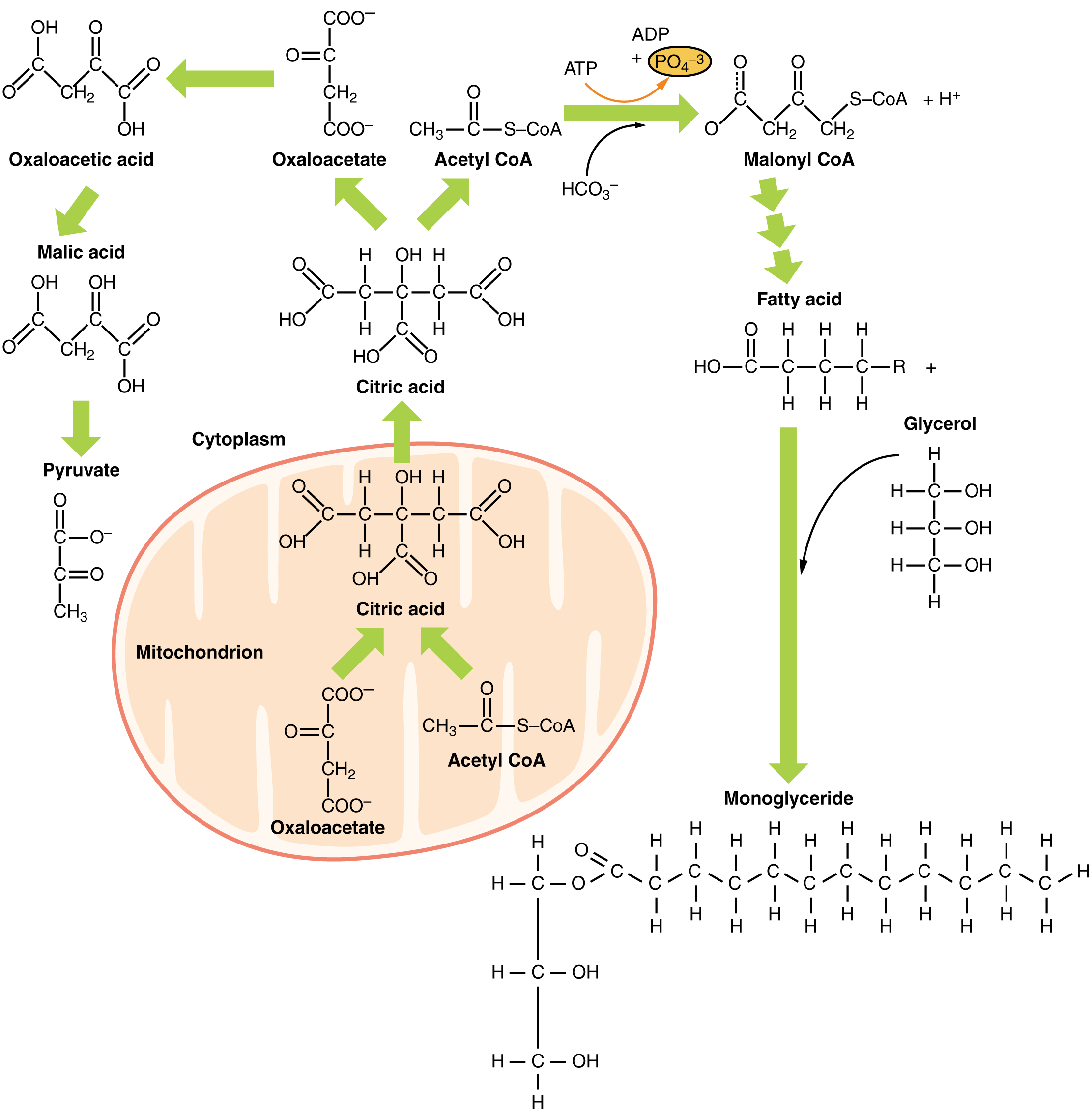
Although lipogenesis occurs in the cytoplasm, the necessary acetyl CoA is created in the mitochondria and cannot be transported across the mitochondrial membrane. To solve this problem, pyruvate is converted into both oxaloacetate and acetyl CoA. Two different enzymes are required for these conversions. Oxaloacetate forms via the action of pyruvate carboxylase, whereas the action of pyruvate dehydrogenase creates acetyl CoA. Oxaloacetate and acetyl CoA combine to form citrate, which can cross the mitochondrial membrane and enter the cytoplasm. In the cytoplasm, citrate is converted back into oxaloacetate and acetyl CoA. Oxaloacetate is converted into malate and then into pyruvate. Pyruvate crosses back across the mitochondrial membrane to wait for the next cycle of lipogenesis. The acetyl CoA is converted into malonyl CoA that is used to synthesize fatty acids. Figure summarizes the pathways of lipid metabolism.

Lipid Metabolism

This figure shows the different reactions that take place for lipid metabolism.

Lipids may follow one of several pathways during metabolism. Glycerol and fatty acids follow different pathways.

Chapter Review

Lipids are available to the body from three sources. They can be ingested in the diet, stored in the adipose tissue of the body, or synthesized in the liver. Fats ingested in the diet are digested in the small intestine. The triglycerides are broken down into monoglycerides and free fatty acids, then imported across the intestinal mucosa. Once across, the triglycerides are resynthesized and transported to the liver or adipose tissue. Fatty acids are oxidized through fatty acid or β-oxidation into two-carbon acetyl CoA molecules, which can then enter the Krebs cycle to generate ATP. If excess acetyl CoA is created and overloads the capacity of the Krebs cycle, the acetyl CoA can be used to synthesize ketone bodies. When glucose is limited, ketone bodies can be oxidized and used for fuel. Excess acetyl CoA generated from excess glucose or carbohydrate ingestion can be used for fatty acid synthesis or lipogenesis. Acetyl CoA is used to create lipids, triglycerides, steroid hormones, cholesterol, and bile salts. Lipolysis is the breakdown of triglycerides into glycerol and fatty acids, making them easier for the body to process.

Glossary

beta (β)-oxidation
fatty acid oxidation
bile salts
salts that are released from the liver in response to lipid ingestion and surround the insoluble triglycerides to aid in their conversion to monoglycerides and free fatty acids
cholecystokinin (CCK)
hormone that stimulates the release of pancreatic lipase and the contraction of the gallbladder to release bile salts
chylomicrons
vesicles containing cholesterol and triglycerides that transport lipids out of the intestinal cells and into the lymphatic and circulatory systems
fatty acid oxidation
breakdown of fatty acids into smaller chain fatty acids and acetyl CoA
ketone bodies
alternative source of energy when glucose is limited, created when too much acetyl CoA is created during fatty acid oxidation
lipogenesis
synthesis of lipids that occurs in the liver or adipose tissues
lipolysis
breakdown of triglycerides into glycerol and fatty acids
monoglyceride molecules
lipid consisting of a single fatty acid chain attached to a glycerol backbone
pancreatic lipases
enzymes released from the pancreas that digest lipids in the diet
triglycerides
lipids, or fats, consisting of three fatty acid chains attached to a glycerol backbone

Heather Ketchum & Eric Bright, OU Human Physiology Textbook. OpenStax CNX. Jun 18, 2015. Download for free at http://cnx.org/contents/e4f804ec-103f-4157-92e1-71eed7aa8584@1

Annotate

Next Chapter
Chapter 4: Fitness Principles
PreviousNext
Kinesiology, Nutrition, and Fitness

Copyright © 2021

                                by Amanda Shelton

            Introduction to Exercise Science for Fitness Professionals by Amanda Shelton is licensed under a Creative Commons Attribution 4.0 International License, except where otherwise noted.
Powered by Manifold Scholarship. Learn more at
Opens in new tab or windowmanifoldapp.org