Skip to main content

Nutrition: Science and Everyday Application: Types of Carbohydrates

Nutrition: Science and Everyday Application
Types of Carbohydrates
  • Show the following:

    Annotations
    Resources
  • Adjust appearance:

    Font
    Font style
    Color Scheme
    Light
    Dark
    Annotation contrast
    Low
    High
    Margins
  • Search within:
    • My Notes + Comments
    • Notifications
    • Privacy
  • Project HomeNatural Sciences Collection: Anatomy, Biology, and Chemistry
  • Projects
  • Learn more about Manifold

Notes

table of contents
  1. Cover
  2. Title Page
  3. Copyright
  4. Table Of Contents
  5. Introduction
  6. About the Authors
  7. Acknowledgements
  8. Updates Made to OER
  9. Unit 1 – Designing A Healthy Diet
    1. Introduction to Designing a Healthy Diet
    2. Nutrition and Health
    3. An Introduction to Molecules
    4. Classification of Nutrients
    5. Defining Nutrient Requirements: Dietary Reference Intakes
    6. Understanding Food Labels
    7. Tools for Achieving a Healthy Diet
  10. Unit 2 — Nutrition Science and Information Literacy
    1. Introduction to Nutrition Science and Information Literacy
    2. The Scientific Method
    3. Types of Research Studies and How To Interpret Them
    4. Healthy Skepticism in Nutrition Science
    5. Fact-Checking Online Health and Nutrition Information
    6. Who Are the Experts in Nutrition Science?
    7. Finding Accurate Sources of Health and Nutrition Information
  11. Unit 3 – Molecules of Life: Photosynthesis, Digestion, and Metabolism
    1. Introduction to Molecules of Life
    2. Organization of Life
    3. Photosynthesis and Metabolism
    4. The Digestive System
    5. Disorders of the GI Tract
    6. Food Intolerances, Allergies, and Celiac Disease
  12. Unit 4- Carbohydrates
    1. Introduction to Carbohydrates
    2. Types of Carbohydrates
    3. Carbohydrate Food Sources and Guidelines for Intake
    4. Digestion and Absorption of Carbohydrates
    5. Glucose Regulation and Utilization in the Body
    6. Fiber – Types, Food Sources, Health Benefits, and Whole Versus Refined Grains
    7. Sugar: Food Sources, Health Implications, and Label-Reading
    8. Sugar Substitutes
  13. Unit 5- Lipids
    1. Introduction to Lipids
    2. The Functions of Fats
    3. Lipid Types and Structures
    4. Fatty Acid Types and Food Sources
    5. Digestion and Absorption of Lipids
    6. Lipid Transport, Storage, and Utilization
    7. Lipid Recommendations and Heart Health
  14. Unit 6- Protein
    1. Introduction to Protein
    2. Protein Structure
    3. Protein Functions
    4. Protein in Foods and Dietary Recommendations
    5. Protein Digestion and Absorption
    6. Health Consequences of Too Little and Too Much Dietary Protein
    7. Protein Food Choices and Sustainability
  15. Unit 7 — Body Weight and Health
    1. Introduction to Body Weight and Health
    2. Energy Balance: Energy In, Energy Out—Yet Not As Simple As It Seems
    3. Measures of Body Size, Body Composition, and Metabolic Health
    4. Risks of Too Little and Too Much Body Fat
    5. Eating Disorders
    6. Complex Causes of Excess Weight
    7. Solutions for Improving Health
  16. Unit 8 – Vitamins and Minerals Part 1
    1. Introduction to Vitamins and Minerals
    2. Vitamins Important for Vision
    3. Vitamins and Minerals as Antioxidants
    4. Dietary Supplements
    5. Sources of Vitamins and Minerals
    6. Classification of Vitamins and Minerals
    7. Vitamins and Minerals Involved In Fluid And Electrolyte Balance
  17. Unit 9 – Vitamins and Minerals Part 2
    1. Introduction to Vitamins and Minerals Part 2
    2. Vitamins and Minerals Involved in Energy Metabolism
    3. Introduction to Bone Health
    4. Other Minerals Important to Bone Health
    5. Vitamin D: Important to Bone Health and Beyond
    6. Vitamins and Minerals Involved in Blood Health
    7. Calcium: Critical for Bones and Throughout the Body
  18. Unit 10 — Nutrition and Physical Activity
    1. Introduction to Nutrition and Physical Activity
    2. Essential Elements and Benefits of Physical Fitness
    3. Fuel Sources for Exercise
    4. Nutrient Needs of Athletes
  19. Unit 11 — Nutrition Throughout the Lifespan
    1. Introduction to Nutrition Throughout the Lifecycle
    2. Nutrition in Pregnancy and Lactation
    3. Nutrition in Early Infancy
    4. Nutrition in Later Infancy and Toddlerhood
    5. Raising Healthy Eaters
    6. Nutrition in Adolescence
    7. Nutrition in Older Adults
  20. Glossary

Types of Carbohydrates

On this page, we’ll get acquainted with the chemical structure of different types of carbohydrates and learn where we find them in foods.

First, all carbohydrates are made up of the same chemical elements:

  • carbon (that’s the “carbo-” part)
  • hydrogen and oxygen, in about a two-to-one proportion, just like in H2O (that’s the “-hydrate” part)

For this reason, you may see carbohydrates abbreviated as “CHO” in our class.

Carbohydrates can be divided into two main types: simple and complex. Simple carbohydrates are made up of just one or two sugar units, whereas complex carbohydrates are made up of many sugar units. We’ll look at each of these in turn. This figure gives you an overview of the types of carbohydrates that we’ll cover.

The figure outlines the major types of carbohydrates, organized as simple and complex. Under simple carbohydrates, the 3 monosaccharides (glucose, fructose, and galactose) and 3 disaccharides (maltose, sucrose, lactose) are listed. Under complex carbohydrates, starch, glycogen, and fiber are listed.

Figure 4.4. Carbohydrates can be divided into two main types: simple (including monosaccharides and disaccharides) and complex.

Simple carbohydrates

Simple carbohydrates are sometimes called “sugars” or “simple sugars.” There are 2 types of simple carbohydrates: monosaccharides and disaccharides.

Monosaccharides contain just one sugar unit, so they’re the smallest of the carbohydrates. (The prefix “mono-” means “one.”) The small size of monosaccharides gives them a special role in digestion and metabolism. Food carbohydrates have to be broken down to monosaccharides before they can be absorbed in the gastrointestinal tract, and they also circulate in blood in monosaccharide form.

There are 3 monosaccharides:

  1. Glucose
  2. Fructose
  3. Galactose

Note that all three have the same chemical formula (C6H12O6); the atoms are just arranged a bit differently.

1 – Glucose

Here’s the chemical structure of glucose:

figure shows Hayworth projection of glucose chemical structure

In this class, we’ll sometimes use a simpler green hexagon to represent glucose: image

You’re already familiar with glucose, because it’s the main product of photosynthesis. Plants make glucose as a way of storing the sun’s energy in a form that it can use for growth and reproduction.

In humans, glucose is one of the most important nutrients for fueling the body. It’s especially important for the brain and nervous system, which aren’t very good at using other fuel sources. Muscles, on the other hand, can use fat as an energy source. (In practice, your muscles are usually using some combination of fat and glucose for energy, which we’ll learn more about later.)

Food sources of glucose: Glucose is found in fruits and vegetables, as well as honey, corn syrup, and high fructose corn syrup. (All plants make glucose, but much of the glucose is used to make starch, fiber, and other nutrients. The foods listed here have glucose in its monosaccharide form.)

2 – Fructose

Here’s the chemical structure of fructose:

figure shows Hayworth projection of fructose chemical structure

In this class, we’ll sometimes use a simpler purple pentagon to represent fructose: image

Fructose is special because it is the sweetest carbohydrate. Plants make a lot of fructose as a way of attracting insects and animals, which help plants to reproduce. For example, plants make nectar, which is high in fructose and very sweet, to attract insects that will pollinate it. Plants also put fructose into fruit to make it tastier. Animals eat the fruit, wander away, and later poop out the seeds from the fruit, thereby sowing the seeds of the next generation. Animal gets a meal, and the plant gets to reproduce: win-win!

3 photos, from left to right: a bee on a lilac flower; a jar of honey; a kiwi fruit sliced in half, showing black seeds in center.

Figure 4.5. Fructose in nature: A bee collects sweet nectar from a flower, in the process spreading pollen from flower to flower and helping plants to reproduce. Bees use nectar to make honey, which humans harvest for use as a sweetener. (Honey contains a mix of sucrose, fructose, and glucose). A kiwi is sweetened in part by fructose. Animals enjoy the sweet fruit and then later poop out the seeds, sowing them for a new generation of kiwi trees.

Food sources of fructose: Fruits, vegetables, honey, high fructose corn syrup

3 – Galactose

Here is the chemical structure of galactose:

figure shows Hayworth projection of galactose chemical structure

In this class, we’ll sometimes use a blue hexagon to represent galactose:

Food sources of galactose: Galactose is found in milk (and dairy products made from milk), but it’s almost always linked to glucose to form a disaccharide (more on that in a minute). We rarely find it in our food supply in monosaccharide form.

The second type of simple carbohydrates is disaccharides. They contain two sugar units bonded together.

There are 3 disaccharides:

  1. Maltose (glucose + glucose)
  2. Sucrose (glucose + fructose)
  3. Lactose (glucose + galactose)

1 – Maltose

Here is the chemical structure of maltose:

Hayworth projection of the chemical of maltose structure.

Maltose is made of two glucose molecules bonded together. It doesn’t occur naturally in any appreciable amount in foods, with one exception: sprouted grains. Grains contain a lot of starch, which is made of long chains of glucose (more on this in a minute), and when the seed of a grain starts to sprout, it begins to break down that starch, creating maltose. If bread is made from those sprouted grains, that bread will have some maltose. Sprouted grain bread is usually a little heavier and sweeter than bread made from regular flour.

Maltose also plays a role in the production of beer and liquor, because this process involves the fermentation of grains or other carbohydrate sources. Maltose is formed during the breakdown of those carbohydrates, but there is very little remaining once the fermentation process is complete.

You can taste the sweetness of maltose if you hold a starchy food in your mouth for a minute or so. Try this with a simple food like a soda cracker. Starch is not sweet, but as the starch in the cracker begins to break down with the action of salivary amylase, maltose will form, and you’ll taste the sweetness!

2 – Sucrose

Here is the chemical structure of sucrose:

Hayworth projection of the chemical structure of sucrose.

Sucrose is made of a glucose molecule bonded to a fructose molecule. It’s made by plants for the same reason as fructose — to attract animals to eat it and thereby spread the seeds.

Sucrose is naturally-occurring in fruits and vegetables. (Most fruits and vegetables contain a mixture of glucose, fructose, and sucrose.) But humans have also figured out how to concentrate the sucrose in plants (usually sugar cane or sugar beets) to make refined table sugar. We also find sucrose in maple syrup and honey.

The sucrose found in a sweet potato is chemically identical to the sucrose found in table sugar. Likewise, the fructose found in a fig is chemically identical to the fructose found in high fructose corn syrup. As we’ll discuss more later, what’s different is the package the sugars come in. When you eat a sweet potato or a fig, you also get lots of fiber, vitamins, and minerals in that package, whereas sugar and high fructose corn syrup only provide sugar, nothing else. It’s not a bad thing to eat sugar. After all, it’s a vital fuel for our brain and nervous system. But paying attention to the package it comes in can help us make good overall choices for health.

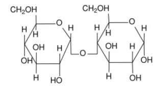
3 – Lactose

Here is the chemical structure of lactose:

Hayworth projection of the chemical structure of lactose.

Lactose is made of a glucose molecule bonded to a galactose molecule. It is sometimes called “milk sugar” as it is found in dairy products like milk, yogurt, and cheese. These are the only animal foods that have significant amounts of carbohydrate. Most of our carbohydrates come from plant foods.

Complex carbohydrates

Complex carbohydrates are also called polysaccharides, because they contain many sugars. (The prefix “poly-” means “many.”) There are 3 main polysaccharides:

  1. Starch
  2. Glycogen
  3. Fiber

All three of these polysaccharides are made up of many glucose molecules bonded together, but they differ in their structure and the type of bonds.

1 – Starch

Starch is made up of long chains of glucose. If these chains are straight, they’re called amylose; if they’re branched, they’re called amylopectin.

Here is an amylose segment containing 3 glucose units.

figure shows chemical structure of a segment of amylose (a type of starch) with 3 glucose units

The next figure shows an amylopectin segment containing 4 glucose units. The chemical structure is represented differently, but can you spot the place where it branches?

figure shows chemical structure of a segment of amylopectin (a type of starch) with 4 glucose units linked together, including one branc

Using our green hexagon to represent glucose, you can picture starch as something like this:

The figure shows simple schematics of two types of starch: amylose and amylopectin. Amylose is depicted as a chain of green hexagons (each representing glucose) linked together. Amylopectin is depicted as a chain of green hexagons with several branch points in it.

Humans have digestive enzymes to break down both types of starch, which we’ll discuss on the next page.

Starch is the storage form of carbohydrate in plants. Plants make starch in order to store glucose. For example, starch is in seeds to give the seedling energy to sprout, and we eat those seeds in the form of grains, legumes (soybeans, lentils, pinto and kidney beans, for example), nuts, and seeds. Starch is also stored in roots and tubers to provide stored energy for the plant to grow and reproduce, and we eat these in the form of potatoes, sweet potatoes, carrots, beets, and turnips.

When we eat plant foods with starch, we can break it down into glucose to provide fuel for our body’s cells. In addition, starch from whole plant foods comes packaged with other valuable nutrients. We also find refined starch—such as corn starch—as an ingredient in many processed foods, because it serves as a good thickener.

2 – Glycogen

Glycogen is structurally similar to amylopectin, but it’s the storage form of carbohydrate in animals, humans included. It’s made up of highly branched chains of glucose, and it’s stored in the liver and skeletal muscle. The branched structure of glycogen makes it easier to break down quickly to release glucose to serve as fuel when needed on short notice.

Liver glycogen is broken down to glucose, which is released into the bloodstream and can be used by cells around the body. Muscle glycogen provides energy only for muscle, to fuel activity. That can come in handy if you’re being chased by a lion, or sprinting to make your bus! Both liver and muscle glycogen serve as relatively short-term forms of energy storage; together, they can only provide enough glucose to last for about 24 hours in a person fasting or eating a very low carbohydrate diet.

Even though glycogen is stored in the liver and muscles of animals, we don’t find it in meat, because it’s broken down soon after slaughter. Thus, glycogen is not found in our food. Instead, we have to make it in our liver and muscle from glucose.

Here’s a beautiful depiction of glycogen.

The image is an illustration depicting glycogen, showing a three-dimensional protein at the center (looks like colorful, curled ribbons), and radiating from it are long, branching chains of glucose.

Figure 4.6. Glycogen is made from long, branching chains of glucose, radiating around a central protein.

3 – Fiber

Fiber includes carbohydrates and other structural substances in plants that are indigestible to human enzymes. Fiber is made by plants to provide protection and structural support. Think about thick stems that help a plant stand upright, tough seed husks, and fruit skin that protect what’s growing inside. These are full of fiber.

3 photos, from left to right: close-up photo of golden tops of wheat plants in a field, against a backdrop of a blue sky; a photo of a broccoli plant, showing broccoli florets surrounded by large, dark green leaves; photo of two apples, colored green and red, growing on a tree branch

Figure 4.7. Examples of food plants high in fiber, including wheat, broccoli, and apples.

In our food, we find fiber in whole plant foods like whole grains, seeds, nuts, fruits, vegetables, and legumes.

One of the most common types of fiber is cellulose, the main component in plant cell walls. The chemical structure of cellulose is shown in the figure below, with our simplified depiction next to it. You can see that cellulose has long chains of glucose, similar to starch, but they’re stacked up, and there are hydrogen bonds linking the stacks.

On the left, the chemical structure of cellulose, showing a total of 16 glucose units arranged in rows of 4 each, with hydrogen bonds linking them vertically, as in a grid. On the right, a simplified schematic of the chemical structure of cellulose, showing multiple green hexagons, each representing a glucose molecule, arranged in rows with lines linking them both vertically and horizontally, as in a grid

When we eat fiber, it passes through the small intestine intact, because we don’t have digestive enzymes to break it down. Then, in the large intestine, our friendly microbiota—the bacteria that live in our colons—go to work on the fiber. Some fiber can be fermented by those bacteria. We’ll discuss fiber more later in the unit.

Self-Check:

An interactive H5P element has been excluded from this version of the text. You can view it online here:
https://openoregon.pressbooks.pub/nutritionscience2e/?p=169#h5p-24

References:

  • Levin, R. J. (1999). Carbohydrates. In Modern Nutrition in Health and Disease (9th ed.). Baltimore: Lippincott Williams and Wilkins.
  • U.S. Department of Agriculture. (n.d.). FoodData Central. Retrieved November 15, 2019, from https://fdc.nal.usda.gov/

Image Credits:

  • Figure 4.4. “Types of carbohydrates diagram” by Alice Callahan made with Microsoft SmartArt is licensed under CC BY-SA 4.0
  • “Structure of alpha-D-glucopyranose (Haworth projection)” , “Structure of beta-D-fructofuranose (Haworth projection)” , and “Structure of beta-D-galactopyranose (Haworth projection)” by NEUROtiker is in the Public Domain
  • “Simple carbohydrate diagrams” (with hexagons, pentagon) by Alice Callahan is licensed under CC BY-SA 4.0
  • Maltose structure is cropped from “Amylase reaction consisting of hydrolyzing amylose, producing maltose” by BQmUB2012134 is in the Public Domain, CC0
  • “Skeletal formula of sucrose” by NEUROtiker is in the Public Domain, CC0
  • ” Lactose (simplified structure)” by NEUROtiker is in the Public Domain, CC0
  • Figure 4.5. “Flower with bee” by pontla; “Honey” by sunny mama; “Kiwi” by ereta ekarafi; all licensed under CC BY-NC-ND 2.0
  • Figure 4.6. “Glycogen” by Häggström, Mikael (2014). “Medical gallery of Mikael Häggström 2014“. WikiJournal of Medicine 1 (2). DOI:10.15347/wjm/2014.008. ISSN 2002-4436. Public Domain.
  • Figure 4.7. “Wheat” by Bernat Caser; “Broccoli” by albedo20; “Apple” by Fiona Shields; all licensed under CC BY-NC-ND 2.0
  • “Chemical structure of cellulose” by laghi.l is licensed under CC BY-SA 3.0

Annotate

Next Chapter
Carbohydrate Food Sources and Guidelines for Intake
PreviousNext
Kinesiology, Nutrition, and Fitness

Copyright © 2020

            Nutrition: Science and Everyday Application Copyright © 2020 by Alice Callahan, PhD; Heather Leonard, MEd, RDN; and Tamberly Powell, MS, RDN is licensed under a Creative Commons Attribution-NonCommercial 4.0 International License, except where otherwise noted.
Powered by Manifold Scholarship. Learn more at
Opens in new tab or windowmanifoldapp.org