Skip to main content

Human Anatomy & Physiology I, 2nd edition: Unit 3: Biochemistry

Human Anatomy & Physiology I, 2nd edition
Unit 3: Biochemistry
  • Show the following:

    Annotations
    Resources
  • Adjust appearance:

    Font
    Font style
    Color Scheme
    Light
    Dark
    Annotation contrast
    Low
    High
    Margins
  • Search within:
    • Notifications
    • Privacy
  • Project HomeNatural Sciences Collection: Anatomy, Biology, and Chemistry
  • Projects
  • Learn more about Manifold

Notes

table of contents
  1. Cover
  2. Title Page
  3. Copyright
  4. Table Of Contents
  5. Preface
  6. Levels of Organization
    1. Unit 1: Atoms and Molecules
    2. Unit 2: The Chemistry of Water
    3. Unit 3: Biochemistry
    4. Unit 4: Cell Structure and Function
    5. Unit 5: Membrane Structure and Function
    6. Unit 6: Tissue Structure and Functions
    7. Unit 7: Body Structure
    8. Unit 8: Homeostasis
  7. Support and Movement
    1. Unit 11: The Integumentary System
    2. Unit 12: The Skeletal System
    3. Unit 13: Joints
    4. Unit 14: Biomechanics
    5. Unit 15: Muscle Anatomy and Movement
    6. Unit 16: Muscle Physiology
  8. Glossary
  9. Appendix I: Periodic Table of the Elements
  10. Appendix II: Anatomical Prefixes and Suffixes

Unit 3: Biochemistry

Unit outline

Part 1. Chemistry of carbon

Part 2. Carbohydrates

  • Monosaccharides
  • Disaccharides
  • Polysaccharides
  • Functions of carbohydrates

Part 3. Lipids

  • Triglycerides
  • Phospholipids
  • Steroids

Part 4. Proteins

  • Microstructure of proteins
  • Shape of proteins
  • Functions of proteins

Part 5. Nucleotides and nucleic acids

  • Adenosine triphosphate (ATP)
  • Nucleic acids
    • DNA
    • RNA

Review Questions

Learning Objectives

At the end of this unit, you should be able to:

I. Describe the chemistry of carbon.

II. Describe the structure and function of carbohydrates.

III. Describe the structure and function of lipids.

IV. Describe the structure and function of proteins.

V. Describe the structure and function of nucleic acids.

Learning Objectives and Guiding Questions

At the end of this unit, you should be able to complete all the following tasks, including answering the guiding questions associated with each task.

I. Describe the chemistry of carbon.

  1. Identify the number of covalent bonds carbon can form.
  2. Define the term “hydrocarbon chain”.
  3. Define the term “functional group”, and identify five examples that are important in human physiology.

II. Describe the structure and function of carbohydrates.

  1. Specify the three chemical elements of which carbohydrate molecules consist, and their relative (approximate) proportions in a typical carbohydrate molecule.
  2. Refer to the chemical structure of carbohydrates and the chemical properties of water to explain why carbohydrates are generally hydrophilic (soluble in water).
  3. Carbohydrate molecules can be grouped based on how many monomers they contain. For each of the three main size groups of carbohydrate:
    • Name and define the group (based on the number of monomers it contains)
    • Name at least three specific examples of each group
    • Briefly describe at least one major function in the human body of each group

III. Describe the structure and function of lipids.

  1. Specify the major elements of lipid molecules.
  2. Specify the chemical elements of which lipid molecules typically consist, and their relative (approximate) proportions in a typical lipid molecule.
  3. Describe the following for triglycerides.
    • Using an annotated diagram, describe the main structural components
    • Describe their primary function in the human body
  4. Describe the following for phospholipids.
    • Using an annotated diagram, describe the main structural components and distinguish between the polar head and non-polar tail ends
    • Describe their primary function in the human body
  5. Describe the following for steroids.
    • Describe the main structural components
    • Describe their primary function in the human body
  6. Refer to the chemical structure of lipids and the chemical properties of water to explain why lipids are generally insoluble in water.
  7. Describe and clearly distinguish between the physical and chemical characteristics of:
    • Saturated fats and unsaturated fats
    • Monounsaturated fats and polyunsaturated fats

IV. Describe the structure and function of proteins.

  1. Specify the chemical elements that make up protein molecules.
  2. Use an annotated diagram to show the structure of a generic amino acid.
  3. For each of the four levels of structure of a protein molecule:
    • Name the structural level.
    • Define the structural level.
  4. Describe, using examples, eight major functional groups of proteins.
  5. For each major functional group of proteins:
    • Briefly describe the major function in the human body.
    • Name one protein that is representative of each group.

V. Describe the structure and function of nucleic acids.

  1. Specify the chemical elements that make up nucleotides.
  2. Draw an annotated diagram to show the general structure of a generic nucleoside and a generic nucleotide.
  3. For adenosine triphosphate (ATP), describe its:
    • Chemical structure.
    • Function in cells.
    • Important chemical characteristics that allow it to perform its function.
  4. Draw two annotated diagrams to compare and contrast the overall structure of the two major nucleic acids found in human cells. In your diagrams, be sure to include the three main structural components of individual nucleotides.
  5. Compare and contrast the structure of RNA and DNA. For both molecules, identify:
    • The name and general structure of the monomers they consist of.
    • The specific nitrogenous bases present in each.
    • The one major structural difference between a molecule of RNA and a molecule of DNA.
    • The type of bond holding the dual strands of DNA together.
    • The main function in human cells.

Organic compounds typically consist of groups of carbon atoms covalently bonded to hydrogen, usually oxygen, and often other elements as well. Created by living things, they are found throughout the world, in soils and seas, commercial products, and every cell of the human body. The four types most important to human structure and function are carbohydrates, lipids, proteins, and nucleotides. Before exploring these compounds, you need to first understand the chemistry of carbon.

Part 1. The Chemistry of Carbon

What makes organic compounds ubiquitous is the chemistry of their carbon core. Recall that carbon atoms have four electrons in their valence shell, and that the octet rule dictates that atoms tend to react in such a way as to complete their valence shell with eight electrons. Carbon atoms do not complete their valence shells by donating or accepting four electrons. Instead, they readily share electrons via covalent bonds.

Commonly, carbon atoms share with other carbon atoms, often forming a long carbon chain referred to as a carbon skeleton. It is also possible for carbon atoms to form more than one covalent bond with one another, and can form double bonds and triple bonds.

In organic compounds, carbon atoms can be found to share electrons with hydrogen. Carbon and hydrogen groupings are called hydrocarbons. If you study the figures of organic compounds in the remainder of this chapter, you will see several with chains of hydrocarbons in one region of the compound.

Carbon may share electrons with oxygen or nitrogen or other atoms in a particular region of an organic compound. Moreover, the atoms to which carbon atoms bond may also be part of a functional group. A functional group is a group of atoms linked by strong covalent bonds and tending to function in chemical reactions as a single unit. You can think of functional groups as tightly knit “cliques” whose members are unlikely to be parted. Five functional groups are important in human physiology; these are the hydroxyl, carboxyl, amino, methyl and phosphate groups (Table 1).

Table 1: Functional Groups Important in Human Physiology
Functional GroupChemical formulaImportance
Hydroxyl-OHPolar group. Components of all four major classes of organic compounds discussed in this chapter.  Involved in dehydration synthesis and hydrolysis reactions, and hydrogen bonding.
Carboxyl-COOHA component of the organic acids discussed in this chapter.
Amino-NH2A component of all amino acids.
Methyl-CH3A component of all fatty acids.
Phosphate-PO42-A component of all phospholipids and nucleotides.

Carbon’s affinity for covalent bonding means that many distinct and relatively stable organic molecules nevertheless readily form larger, more complex molecules. Any large molecule is referred to as macromolecule (macro- = “large”), and the organic compounds in this section all fit this description. However, some macromolecules are made up of several “copies” of single units called monomer (mono- = “one”; -mer = “part”). Like beads in a long necklace, these monomers link by covalent bonds to form long polymers (poly- = “many”). There are many examples of monomers and polymers among the organic compounds.

Monomers form polymers by engaging in dehydration synthesis (Figure 1). As was noted earlier, this reaction results in the release of a molecule of water. Each monomer contributes: One gives up a hydrogen atom (H) and the other gives up a hydroxyl group (OH). Polymers are split into monomers by hydrolysis (-lysis = “rupture”). The bonds between their monomers are broken, via the donation of a molecule of water, which contributes a hydrogen atom to one monomer and a hydroxyl group to the other.

Part 2. Carbohydrates

A carbohydrate is a molecule composed of carbon, hydrogen, and oxygen; in most carbohydrates, hydrogen and oxygen are found in the same two-to-one relative proportions they have in water. In fact, the chemical formula for a “generic” molecule of carbohydrate is (CH2O)n. The structure also contains several hydroxyl groups, which makes carbohydrates polar in terms of chemical nature.

Carbohydrates are also referred to as saccharides, a word meaning “sugars.”. Three forms are important in the body. Monosaccharides are the monomers of carbohydrates. Disaccharides (di- = “two”) are made up of two monomers. Polysaccharides are the polymers, and can consist of hundreds to thousands of monomers.

image
Figure 1. Five Important Monosaccharides. Different groups of monosaccharides are defined by the number of carbon atoms in their molecular structure. In the examples shown, the hexoses each contain six carbon atoms in their molecular structure, whereas the pentoses each contain five carbon atoms.
Monosaccharides

A monosaccharide is a monomer of carbohydrates. Five monosaccharides are important in the body. Three of these are the hexose sugars, so called because they each contain six atoms of carbon. These are glucose, fructose, and galactose (Figure 1a). The remaining monosaccharides are the two pentose sugars, each of which contains five atoms of carbon: ribose and deoxyribose (Figure 1b).

Disaccharides

A disaccharide is a pair of monosaccharides. Disaccharides are formed via dehydration synthesis, and the bond linking them is referred to as a glycosidic bond (glyco- = “sugar”). Three disaccharides are important to humans. These are sucrose, commonly referred to as table sugar; lactose, or milk sugar; and maltose, or malt sugar (Figure 2). As you can tell from their common names, you consume these in your diet; however, your body cannot use them directly. Instead, in the digestive tract, they are split into their component monosaccharides via hydrolysis.

image
Figure 2. Three Important Disaccharides. All three important disaccharides are formed by dehydration synthesis.
Polysaccharides

Polysaccharides can contain a few to a thousand or more monosaccharides. Three are important to the body (Figure 3):

  • Starches are polymers of glucose. They occur in long chains called amylose or branched chains called amylopectin, both of which are stored in plant-based foods and are relatively easy to digest.
  • Glycogen is also a polymer of glucose, but it is stored in the tissues of animals, especially in the muscles and liver. It is not considered a dietary carbohydrate because very little glycogen remains in animal tissues after slaughter; however, the human body stores excess glucose as glycogen, again, in the muscles and liver.
  • Cellulose, a polysaccharide made of glucose that is the primary component of the cell wall of green plants, is the component of plant food referred to as “fibre”. In humans, cellulose/fibre is not digestible; however, dietary fibre has many health benefits. It helps you feel full so you eat less, it promotes a healthy digestive tract, and a diet high in fibre is thought to reduce the risk of heart disease and possibly some forms of cancer.
image
Figure 3. Three Important Polysaccharides. Three important polysaccharides are starches, glycogen, and fibre.
Functions of Carbohydrates

The body obtains carbohydrates from plant-based foods. Grains, fruits, and legumes and other vegetables provide most of the carbohydrates in the human diet, although lactose is found in dairy products. Polysaccharides such as starch, and various monosaccharides and disaccharides play a role as a primary energy source, especially glucose which is the main monosaccharide used in the body. Short chains of saccharides can also be used to form the glycocalyx (described in a later unit). The body is also capable of storing glucose in the body in the form of glycogen (a polysaccharide).

Finally, pentose sugars are critical structural components of ATP and the nucleotides that make up RNA and DNA.

Part 3. Lipids

A lipid is one of a highly diverse group of compounds made up mostly of hydrocarbons. The few oxygen atoms they contain are often at the periphery of the molecule. Their nonpolar hydrocarbons make all lipids hydrophobic. In water, lipids do not form a true solution, but they may form an emulsion, which is the term for a mixture of solutions that do not mix well.

Triglycerides

A triglyceride is one of the most common dietary lipid groups, and the type found most abundantly in body tissues. This compound, which is commonly referred to as a fat, is formed by covalent bonding between two types of molecules (Figure 4):

  • A glycerol backbone consists of three carbon atoms, each bonded to a hydroxyl group.
  • Three fatty acids, long chains of hydrocarbons with a carboxyl group and a methyl group at opposite ends, extend from each of the carbons of the glycerol. These hydrocarbon chains are formed with nonpolar bonds, making them hydrophobic in terms of chemical nature.

Triglycerides form via dehydration synthesis. Glycerol gives up hydrogen atoms from its hydroxyl groups at each bond, and the carboxyl group on each fatty acid chain gives up a hydroxyl group. A total of three water molecules are thereby released.

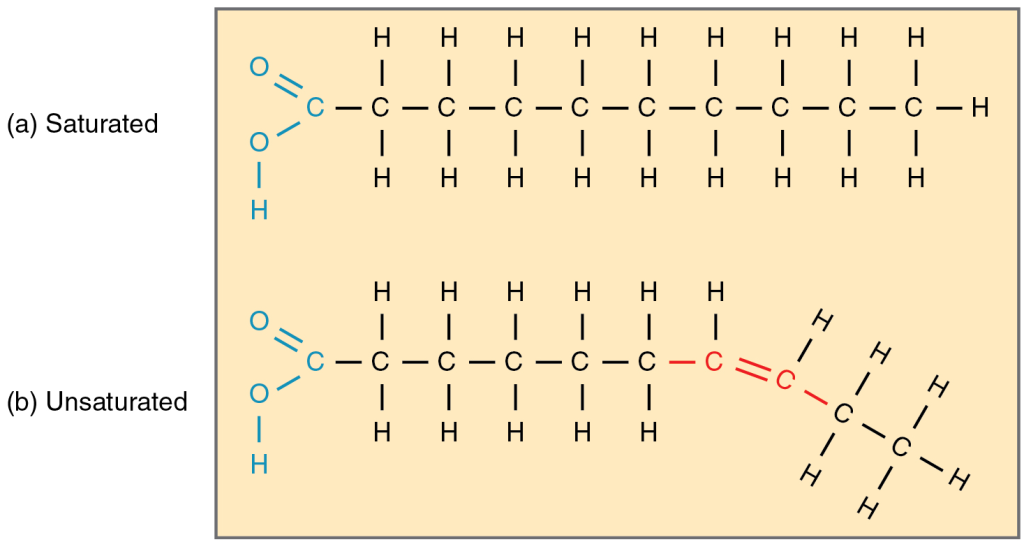
Fatty acid chains that have no double carbon bonds anywhere along their length and therefore contain the maximum number of hydrogen atoms are called saturated fatty acids. These straight, rigid chains pack tightly together and are solid or semi-solid at room temperature (Figure 5a). Butter and lard are examples, as is the fat found on a steak or in your own body. In contrast, fatty acids with one double carbon bond are kinked at that bond (Figure 5b). These monounsaturated fatty acids are therefore unable to pack together tightly, and are liquid at room temperature. Polyunsaturated fatty acids contain two or more double carbon bonds, and are also liquid at room temperature. Plant oils such as olive oil typically contain both mono- and polyunsaturated fatty acids.

image
Figure 4. Triglycerides. Triglycerides are composed of three fatty acids attached to glycerol via dehydration synthesis. Notice that glycerol gives up individual hydrogen atoms, and the carboxyl groups on each fatty acid give up a hydroxyl group.
image
Figure 5. Fatty Acid Shapes. The level of saturation of a fatty acid affects its shape. (a) Saturated fatty acid chains are straight. (b) Unsaturated fatty acid chains are kinked.

As a group, triglycerides are a major fuel source for the body and are used when glucose storages are low or during extended fasting conditions. Triglycerides also fuel long, slow physical activity such as gardening or hiking, and contribute a modest percentage of energy for vigorous physical activity. Dietary fat also assists the absorption and transport of the nonpolar fat-soluble vitamins A, D, E, and K. Additionally, stored body fat protects and cushions the body’s bones and internal organs, and acts as insulation to retain body heat.

Fatty acids are also components of glycolipids, which are sugar-fat compounds found in the cell membrane. Lipoproteins are compounds in which the hydrophobic triglycerides are packaged in protein envelopes for transport in body fluids.

Phospholipids

As its name suggests, a phospholipid is a bond between the glycerol component of a lipid and a phosphorous molecule. In fact, phospholipids are similar in structure to triglycerides. However, instead of having three fatty acids, a phospholipid is generated from a diglyceride, a glycerol with just two fatty acid chains (Figure 6). The third binding site on the glycerol is taken up by the phosphate group, which in turn is attached to a polar “head” region of the molecule. Recall that triglycerides are nonpolar and hydrophobic. This still holds for the fatty acid portion of a phospholipid compound. However, the head of a phospholipid contains charges on the phosphate groups, as well as on the nitrogen atom. These charges make the phospholipid head hydrophilic. Therefore, phospholipids are said to have hydrophobic tails, containing the neutral fatty acids, and hydrophilic heads, containing the charged phosphate groups and nitrogen atom. Phospholipids for the phospholipid bilayer, which is the basis of the structure of cell membranes.

Figure 6. Other Important Lipids. (a) Phospholipids are composed of two fatty acids, glycerol, and a phosphate group. (b) Sterols are ring-shaped lipids. Shown here is cholesterol.
Steroids

A steroid compound (referred to as a sterol) has as its foundation a set of four hydrocarbon rings bonded to a variety of other atoms and molecules (see Figure 6b). Although both plants and animals synthesize sterols, the type that makes the most important contribution to human structure and function is cholesterol, which is synthesized by the liver in humans and animals and is also present in most animal-based foods. Like other lipids, cholesterol’s hydrocarbons make it hydrophobic; however, it has a polar hydroxyl head that is hydrophilic. Cholesterol is an important component of bile acids, compounds that help emulsify dietary fats. Cholesterol is also a building block of many hormones, signaling molecules that the body releases to regulate processes at distant sites.

Part 4. Proteins

You might associate proteins with muscle tissue, but in fact, proteins are critical components of all tissues and organs. A protein is an organic molecule composed of amino acids linked by peptide bonds. Proteins include the keratin in the epidermis of skin that protects underlying tissues, the collagen found in the dermis of skin, in bones, and in the meninges that cover the brain and spinal cord. Proteins are also components of many of the body’s functional chemicals, including digestive enzymes in the digestive tract, antibodies, the neurotransmitters that neurons use to communicate with other cells, and the peptide-based hormones that regulate certain body functions (for instance, growth hormone). While carbohydrates and lipids are composed of hydrocarbons and oxygen, all proteins also contain nitrogen (N), and many contain sulfur (S), in addition to carbon, hydrogen, and oxygen, in varying ratios depending on the structure.

Microstructure of Proteins

Proteins are polymers made up of nitrogen-containing monomers called amino acids. An amino acid is a molecule composed of an amino group and a carboxyl group, together with a variable side chain. Just 20 different amino acids contribute to nearly all of the thousands of different proteins important in human structure and function. Body proteins contain a unique combination of a few dozen to a few hundred of these 20 amino acid monomers. All 20 of these amino acids share a similar structure (Figure 7). All consist of a central carbon atom to which the following are bonded:

  • a hydrogen atom
  • an alkaline (basic) amino group NH2 (see Table 1)
  • an acidic carboxyl group COOH (see Table 1)
  • a variable group

Notice that all amino acids contain both an acid (the carboxyl group) and a base (the amino group) (amine = “nitrogen-containing”). What distinguishes the 20 amino acids from one another is their variable group, which is referred to one another is their variable group, which is referred to as a side chain or an R-group. This group can vary in size and can be polar or nonpolar, giving each amino acid its unique characteristics.

image
Figure 7. Structure of an Amino Acid. The side chain, designated “R”, differs between specific amino acids and is composed of one or more hydrogen, carbon, oxygen, nitrogen, and/or sulfur atoms.

Amino acids join via dehydration synthesis to form protein polymers (Figure 8). The unique bond holding amino acids together is called a peptide bond. A peptide bond is a covalent bond between two amino acids that forms by dehydration synthesis. A peptide, in fact, is a very short chain of amino acids. Strands containing fewer than about 100 amino acids are generally referred to as polypeptides rather than proteins.

The body is able to synthesize most of the amino acids from components of other molecules; however, some cannot be synthesized and have to be consumed in the diet. These are known as the essential amino acids.

image
Figure 8. Peptide Bond. Different amino acids join together to form peptides, polypeptides, or proteins via dehydration synthesis. The bonds between the amino acids are peptide bonds.
Shape of Proteins

A protein’s shape is essential to its function, which is fundamentally determined by the sequence of amino acids of which it is made (Figure 9a). The sequence is called the primary structure of the protein.

Although some polypeptides exist as linear chains, most are twisted or folded into more complex secondary structures that form when bonding occurs between amino acids with different properties at different regions of the polypeptide.

The secondary structure of proteins further folds into a compact three-dimensional shape, referred to as the protein’s tertiary structure (Figure 9c). Often, two or more separate polypeptides bond to form an even larger protein with a quaternary structure (Figure 9d). The polypeptide subunits forming a quaternary structure can be identical or different. For instance, hemoglobin, the protein found in red blood cells is composed of four tertiary polypeptides, two of which are called alpha chains and two of which are called beta chains.

image
Figure 9. The Shape of Proteins. (a) The primary structure is the sequence of amino acids that make up the polypeptide chain. (b) The secondary structure, which can take the form of an alpha-helix or a beta-pleated sheet, is maintained by hydrogen bonds between amino acids in different regions of the original polypeptide strand. (c) The tertiary structure occurs as a result of further folding and bonding of the secondary structure. (d) The quaternary structure occurs as a result of interactions between two or more tertiary subunits. The example shown here is hemoglobin, a protein in red blood cells which transports oxygen to body tissues.
Functions of Proteins

Proteins in the body have a variety of functions. Some proteins are used for movement, from muscle cell contraction (actin and myosin) down to intracellular transport (e.g. actin). Some proteins are also used to provide a structural framework or mechanical support of connective tissues (e.g. collagen, keratin, elastin), individual cells (e.g. titin), and plasma membranes (e.g. spectrin, dystrophin). Some proteins called enzymes, introduced earlier as protein catalysts, play a role in catalytic action (e.g., ATP synthase, etc.) to speed up chemical reactions in the body.

Some proteins are used to transport specific molecules (e.g. hormones or gases) or ions (e.g. iron or calcium) in blood. The hemoglobin proteins packed into red blood cells for example (Figure 9d) are used to transport the oxygen gas molecules from the lungs to other body cells. Others (e.g. albumin, hemoglobin) can help regulate body fluid pH by reversibly functioning as acids or bases, thus acting as buffers. Some proteins act as hormones to regulate metabolism, and are referred to as peptide hormones or protein hormones (e.g. insulin, growth hormone, oxytocin). Others are used to defend the body against foreign substances including invading pathogens and toxins (e.g. antibodies, complement proteins). Finally, some proteins known as molecular chaperones (e.g., heat-shock proteins, etc.) are essential to the production of other proteins and the appropriate breakdown of damaged proteins.

As was noted earlier, the basic and acidic components enable proteins to function as buffers in maintaining acid–base balance, but they also help regulate fluid–electrolyte balance. Proteins attract fluid, and a healthy concentration of proteins in the blood, the cells, and the spaces between cells helps ensure a balance of fluids in these various “compartments.” Moreover, proteins in the cell membrane help to transport electrolytes in and out of the cell, keeping these ions in a healthy balance. Like lipids, proteins can bind with carbohydrates. They can thereby produce glycoproteins or proteoglycans, both of which have many functions in the body.

The body can use proteins for energy when carbohydrate and fat intake is inadequate, and stores of glycogen and adipose tissue become depleted. However, since there is no storage site for protein except functional tissues, using protein for energy causes tissue breakdown, and results in body wasting.

Part 5. Nucleotides and Nucleic Acids

The fourth type of organic compound important to human structure and function are the nucleotides (Figure 12). A nucleotide is one of a class of organic compounds composed of three subunits:

  • one or more phosphate groups
  • a pentose sugar: either deoxyribose or ribose
  • a nitrogen-containing base: adenine, cytosine, guanine, thymine, or uracil

Nucleotides can be assembled into nucleic acids (DNA or RNA) or the energy compound adenosine triphosphate.

Adenosine triphosphate

The nucleotide adenosine triphosphate (ATP), is composed of a ribose sugar, an adenine base, and three phosphate groups (Figure 10). ATP is classified as a high energy compound because the two covalent bonds linking its three phosphates store a significant amount of potential energy. In the body, the energy released from these high energy bonds helps fuel the body’s activities, from muscle contraction to the transport of substances in and out of cells to anabolic chemical reactions.

When a phosphate group is cleaved from ATP, the products are adenosine diphosphate (ADP) and

inorganic phosphate (Pi). This hydrolysis reaction can be written:

ATP + H2O → ADP + Pi + energy

Removal of a second phosphate leaves adenosine monophosphate (AMP) and two phosphate groups. Again, these reactions also liberate the energy that had been stored in the phosphate-phosphate bonds. They are reversible, too, as when ADP undergoes phosphorylation. Phosphorylation is the addition of a phosphate group to an organic compound, in this case, resulting in ATP. In such cases, the same level of energy that had been released during hydrolysis must be reinvested to power dehydration synthesis.

Figure 10. Structure of Adenosine Triphosphate (ATP). Adenosine is a nucleoside to which can be attached one (mono-), two (di-), or three (tri-) phosphate groups.

Cells can also transfer a phosphate group from ATP to another organic compound. For example, when glucose first enters a cell, a phosphate group is transferred from ATP, forming glucose phosphate (C6H12O6—P) and ADP. Once glucose is phosphorylated in this way, it can be stored as glycogen or metabolized for immediate energy.

Nucleic Acids

The nucleic acids differ in their type of pentose sugar. Deoxyribonucleic acid (DNA) is nucleotide that stores genetic information. DNA contains deoxyribose plus one phosphate group and one nitrogen-containing base. The bases for DNA can be adenine, cytosine, guanine, and thymine. Ribonucleic acid (RNA) is a ribose-containing nucleotide that helps manifest the genetic code as protein. RNA contains ribose, one phosphate group, and one nitrogen-containing base, but the bases for RNA are one of adenine, cytosine, guanine, and uracil. (Figure 11)

Bonds formed by dehydration synthesis between the pentose sugar of one nucleic acid monomer and the phosphate group of another form a “backbone,” from which the components’ nitrogen-containing bases protrude. In DNA, two such backbones attach at their protruding bases via hydrogen bonds. These twist to form a shape known as a double helix (Figure 12). The sequence of nitrogen-containing bases within a strand of DNA form the genes that act as a molecular code instructing cells in the assembly of amino acids into proteins. Humans have almost 22,000 genes in their DNA, locked up in the 46 chromosomes inside the nucleus of each cell (except red blood cells which lose their nuclei during development). These genes carry the genetic code to build one’s body, and are unique for each individual except identical twins.

Figure 11. Nucleotides. (a) The building blocks of all nucleotides are one or more phosphate groups, a pentose sugar, and a nitrogen-containing base. (b) The nitrogen-containing bases of nucleotides. (c) The two pentose sugars of DNA and RNA.

In contrast, RNA consists of a single strand of sugar-phosphate backbone studded with bases. Messenger RNA (mRNA) is created during protein synthesis to carry the genetic instructions from the DNA to the cell’s protein manufacturing plants in the cytoplasm, the ribosomes.

image
Figure 12. DNA. In the DNA double helix, two strands attach via hydrogen bonds between the bases of the component nucleotides.
image
Watch this Amoeba Sisters video to learn more about biomolecules! Direct link: https://youtu.be/YO244P1e9QM

Review Questions

Part 1. Chemistry of carbon

An interactive H5P element has been excluded from this version of the text. You can view it online here:
https://pressbooks.bccampus.ca/dcbiol110311092nded/?p=1267#h5p-90

An interactive H5P element has been excluded from this version of the text. You can view it online here:
https://pressbooks.bccampus.ca/dcbiol110311092nded/?p=1267#h5p-91

Part 2. Carbohydrates

An interactive H5P element has been excluded from this version of the text. You can view it online here:
https://pressbooks.bccampus.ca/dcbiol110311092nded/?p=1267#h5p-92

An interactive H5P element has been excluded from this version of the text. You can view it online here:
https://pressbooks.bccampus.ca/dcbiol110311092nded/?p=1267#h5p-93

Part 3. Lipids

An interactive H5P element has been excluded from this version of the text. You can view it online here:
https://pressbooks.bccampus.ca/dcbiol110311092nded/?p=1267#h5p-94

An interactive H5P element has been excluded from this version of the text. You can view it online here:
https://pressbooks.bccampus.ca/dcbiol110311092nded/?p=1267#h5p-95

Part 4. Proteins

An interactive H5P element has been excluded from this version of the text. You can view it online here:
https://pressbooks.bccampus.ca/dcbiol110311092nded/?p=1267#h5p-96

An interactive H5P element has been excluded from this version of the text. You can view it online here:
https://pressbooks.bccampus.ca/dcbiol110311092nded/?p=1267#h5p-97

Part 5. Nucleotides and nucleic acids

An interactive H5P element has been excluded from this version of the text. You can view it online here:
https://pressbooks.bccampus.ca/dcbiol110311092nded/?p=1267#h5p-99

An interactive H5P element has been excluded from this version of the text. You can view it online here:
https://pressbooks.bccampus.ca/dcbiol110311092nded/?p=1267#h5p-100

Annotate

Next Chapter
Unit 4: Cell Structure and Function
PreviousNext
Anatomy and Physiology
Copyright ©2019 by Douglas College Douglas College Human Anatomy & Physiology I (2nd ed.) by Douglas College is licensed under a Creative Commons Attribution 4.0 International License, except where otherwise noted.
Powered by Manifold Scholarship. Learn more at
Opens in new tab or windowmanifoldapp.org