Skip to main content

Introducing Mathematical Biology: A within-host HIV-I model

Introducing Mathematical Biology
A within-host HIV-I model
  • Show the following:

    Annotations
    Resources
  • Adjust appearance:

    Font
    Font style
    Color Scheme
    Light
    Dark
    Annotation contrast
    Low
    High
    Margins
  • Search within:
    • Notifications
    • Privacy
  • Project HomeNatural Sciences Collection: Anatomy, Biology, and Chemistry
  • Projects
  • Learn more about Manifold

Notes

table of contents
  1. Cover
  2. Title Page
  3. Copyright
  4. Table Of Contents
  5. Introduction
  6. Population ecology
    1. Single population models
    2. Interacting populations 1: competition
    3. Interacting populations 2: predator-prey
  7. Infectious disease
    1. Epidemics in human populations
    2. The SIR model with demographics
    3. Diseases of ecological populations
    4. Evolution and adaptive dynamics
  8. Immune and cell dynamics
    1. A within-host Covid-19 model
    2. A within-host HIV-I model
    3. Introducing models of cancer dynamics
    4. A model of cancer volume dynamics
  9. Gene networks
    1. Introducing gene networks
    2. Autoregulation 1: auto-repression
    3. Autoregulation 2: auto-activation
    4. Longer negative feedback networks
    5. A two-gene toggle switch
  10. Pharmacokinetics
    1. Single intravenous bolus dose
    2. Repeated intravenous bolus doses
    3. Single and repeated oral doses
    4. A two compartment bolus model
  11. Background reviews
    1. Phase portraits
    2. Linear stability analysis
    3. Bifurcations
  12. Final thoughts and acknowledgements
  13. References

9

A within-host HIV-I model

Case study: HIV-I

In this chapter we will look at another example of a within-host disease model, and in fact one of the first such models to be developed. Human immunodeficiency virus (HIV) infects immune cells called ‘CD4+ T-cells’, which form an important part of the human immune system. HIV enters these T-cells, replicates within the cell and then releases new virus particles in to the bloodstream. Immediately after first infection, the virus grows rapidly and produces common infection symptoms in the patient. After a few months, these symptoms disappear and the virus concentration reduces to a lower, but steady, level. This ‘asymptomatic period’ can last for years, with the virus density staying roughly constant, and the concentration of T-cells very slowly dropping. Eventually, the T-cell density becomes so low that the patient’s immune system is no longer effective, a condition called aquired immunodeficiency syndrome (AIDS). The patient is then at risk from life-threatening opportunistic infections. From the 1990s, much work has been done to explore the dynamics of HIV and to produce potential treatments, including the development of mathematical models (see chapter references).

A (pre-treatment) model

Let’s start by establishing our variables and drawing a schematic of what is happening in this system. The variables that we want to keep track of (before treatment, at least), are:

  • Healthy T-cells (T)
  • Infected T-cells (T^*)
  • Virus particles (V)

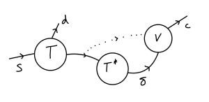
We will only keep track of the concentration of virus particles in the bloodstream, not the ‘intracellular’ concentrations. Our schematic should look like this:

A hand-drawn schematic diagram. Three circles are shown labelled T, T* and V respectively. An arrow points in to T labelled s. One arrow points out of T into blank space labelled d. Another arrow points out of T to T* and is labelled k. Halfway along this arrow anopther dashed line comes off and points to V. A line comes out of T* and points to V labelled delta. A line points out of V pointed to blank space labelled c.
Schematic of the HIV-I model.

Healthy T-cells are produced at some constant rate s by the body (not a per-capita rate), but also decay at some rate d. These healthy cells become infected through contact with virus, assuming a mass-action process, with coefficient k. These infected T-cells then decay at some rate \delta. New virus particles are produced when infected T-cells die, with N giving the average number of virus particles produced by each cell. The virus then also decays at some rate c. The system can therefore be expressed with the following set of ODEs:

\begin{align} \frac{dT}{dt} &= s-dT-kVT\\ \frac{dT^*}{dt} &= kVT-\delta T^*\\ \frac{dV}{dt} &= N\delta T^*-cV \end{align}

Looking at the equations, we can see that there is an HIV-free equilibrium for (T,T^*,V)=(s/d,0,0). We have another example here of a 3-dimensional system. As we saw in the free-living parasite model, assessing stability here can be a bit more complicated, often reying on using the Routh-Hurwitz criteria. As it turns out, for the HIV-free equilibrium things simplify fairly nicely to the point that we can actually directly calculate one of the eigenvalues, and then just use the trace-determinant conditions (themselves the Routh-Hurwitz criteria for a 2-dimensional system) to determine the sign of the other two.

The general Jacobian is,

\begin{align*} J=&\left( \begin{array}{ccc} -d-kV & 0 & -kT\\ kV & -\delta & kT\\ 0 & N\delta & -c \end{array} \right). \end{align*}

Subsituting in the equilibrium values this becomes,

\begin{align*} J=&\left( \begin{array}{ccc} -d & 0 & -ks/d\\ 0 & -\delta & ks/d\\ 0 & N\delta & -c \end{array} \right). \end{align*}

To find the eigenvalues we want to write out the characteristic equation – the determinant of the matrix of (J-\lambda I_3), where I_3 is the identity matrix. The characteristic equation is,

\begin{equation*} (-d-\lambda)\left[(-\delta-\lambda)(-c-\lambda)-\frac{ksN\delta}{d}\right]=0\\ \end{equation*}

This is already partly factorised, making our life much easier. The first bracket tells us that one eigenvalue is \lambda=-d\lt0. To find the remaining two eigenvalues we look at what is inside the square bracket, wich can be re-written as,

\begin{equation*} \lambda^2+(c+\delta)\lambda+\delta c-\frac{ksN\delta}{d}=0\\ \end{equation*}

We could use the quadratic formula to solve for the eigenvalues explicitly, but we can also note that this is just the characteristic equation for a two dimensional system, with -(c+\delta) being the trace and \delta c-\frac{ksN\delta}{d} being the determinant. We can then see that we definitely have a negative trace, and that the determinant is positive – meaning the equilibrium is stable – if imageksN/d" title="c>ksN/d" class="latex mathjax">. In other words, the decay rate of the virus must be high, and the infection rate and production rate must be low.

Of course, when a patient is to undergo treatment, they will not be virus-free. We are therefore more interested in the pre-treatment infection steady-state, and we will denote these with a subscript 0. Setting the equations for dT^*/dt and dV/dt to zero, yields,

\begin{equation} N\delta T^*_0=cV_0 \text{ and } kV_0T_0=\delta T^*_0 \implies T_0=\frac{c}{Nk} \end{equation}

Solving dT/dt=0, then gives,

\begin{equation} V_0=\frac{sN}{c}-\frac{d}{k} \end{equation}

and, by substituting back in,

\begin{equation} T^*_0=\frac{kV_0T_0}{\delta} \end{equation}

We now have expressions for each of these equilibrium values. We won’t prove the stability here as it gets pretty complicated, but it will be stable whenever the infection-free equilibrium is unstable.

Treatment

Assume a patient arrives with their virus and T-cell concentrations at the pre-treatment steady state. We then wish to put them on a course of treatment. There are many different treatments for HIV that act in different ways. We will focus on an early treatment strategy of using ‘protease inhibitors’. These drugs did not prevent infection, but meant that any new virus produced inside infected T-cells were non-infectious. The system therefore becomes:

\begin{align} &\frac{dT}{dt} = s-dT-kV_IT\\ &\frac{dT^*}{dt} = kV_IT-\delta T^*\\ &\frac{dV_I}{dt} = -cV_I\\ &\frac{dV_{NI}}{dt} = N\delta T^*-cV_{NI} \end{align}

Initially this looks like we have made our lives even harder since we now have four equations to deal with! However, it turns out we can simplify things quite a bit. In particular, in the early stages of treatment it is reasonable for us to assume that the number of healthy T-cells stays roughly constant at its pre-treatment level T(t)=T_0. This means dT/dt can be ignored and that T_0 can be considered a constant. We also know that before treatment, all virus particles were of the infective type, such that V_I(0)=V_0 and V_{NI}(0)=0. If we look at the equation for dV_I/dt we can see it is in fact linear, and since we have just stated what its initial value is, we can solve it fairly quickly using separation of variables.

\begin{equation} V_I(t)=V_0e^{-ct}\label{vt} \end{equation}

Given that T(t)=T_0, we now find that dT^*/dt is also now linear,

\begin{equation} \frac{dT^*}{dt} +\delta T^*= kV_IT_0 \end{equation}

It may not initally be obvious that this is linear, since the right-hand side had V_I\times T_0. However, T_0 is a constant and we already have an expression for V_I=V_0e^{-ct}. This can therefore be solved using an integrating factor. Let’s go through the working for this.

Taking an integrating factor of e^{\delta t} we can write this as,

\begin{equation} \frac{d}{dt}\left[T^*e^{\delta t}\right] = kV_0T_0e^{-ct}e^{\delta t} \end{equation}

Integrating both sides with respect to t we then get,

\begin{equation} T^*e^{\delta t} = \frac{kV_0T_0}{\delta-c}e^{-ct}e^{\delta t}+C \end{equation}

where C is a constant of integration. After rearranging we reach our initial result,

\begin{equation} T^* = \frac{kV_0T_0}{\delta-c}e^{-ct}+Ce^{-\delta t}. \end{equation}

Earlier we found the pre-treatment equilibrium for T^*_0=kV_0T_0/\delta, so we can say that when t=0 we have,

\begin{equation} \frac{kV_0T_0}{\delta} = \frac{kV_0T_0}{\delta-c}+C. \end{equation}

We then rearrange to find the constant,

\begin{equation} C=\frac{-ckV_0T_0}{\delta(\delta-c)} \end{equation}

and then substitute back in to get our final solution,

\begin{equation} T^*(t)=\frac{kT_0V_0}{\delta(\delta-c)}\left(\delta e^{-ct}-ce^{-\delta t}\right). \end{equation}

Phew! Now it’s your turn….

Exercises

Using similar methods show that,

\begin{equation} V_{NI}(t)=\frac{cV_0}{\delta-c}\left(\frac{c}{\delta-c}\left(e^{-\delta t}-e^{-ct}\right)+\delta te^{-ct}\right) \end{equation}

Click for solution

Firstly we can write this equation out in the correct form for using an integrating factor,
\begin{equation} \frac{dV_{NI}}{dt}+cV_{NI} = N\delta T^*=\frac{NkT_0V_0}{\delta-c}\left(\delta e^{-ct}-ce^{-\delta t}\right). \end{equation}

The integrating factor is therefore e^{ct}, which leads us to,

\begin{equation} \int\frac{d}{dt}\left(V_{NI}e^{ct}\right)dt = \int\frac{NkT_0V_0}{\delta-c}\left(\delta-ce^{-\delta t+ct}\right)dt. \end{equation}

Computing these two integrals we find,

\begin{align} V_{NI}e^{ct} &= \frac{NkT_0V_0}{\delta-c}\left(\delta t-\frac{c}{c-\delta}e^{-\delta t+ct}\right)+A\\ \implies V_{NI}&=\frac{NkT_0V_0}{\delta-c}\left(\delta te^{-ct}-\frac{c}{c-\delta}e^{-\delta t}\right)+Ae^{-ct} \end{align}

where A is the constant of integration.

At the start of treatment we’d have V_{NI}(0)=0. Substituting this in tells us,

\begin{equation} A=\frac{NkT_0V_0}{\delta-c}\left(\frac{c}{c-\delta}\right), \end{equation}

and so we have (after a little rearranging),

\begin{equation} V_{NI}=\frac{NkT_0V_0}{\delta-c}\left(\delta te^{-ct}+\frac{c}{\delta-c}(e^{-\delta t}-e^{-ct})\right). \end{equation}

Finally we use our assumption that T_0=c/(Nk) to reach the final solution.

This can be added to the solution for V_I(t) to find the overall density of virus particles in the bloodstream at any time point after treatment has begun. After estimating the values of each of the model parameters, researchers plotted the model’s predictions against data of individual patient’s virus concentrations, and found that that the model provides a remarkably good fit. So even though we have a very simplified model of HIV and immune cell interactions and the effects of treatment, we can get useful and applicable insights.

Key Takeaways

  • A patient will only be disease-free if the virus decay rate is high, and its infection rate and burst size is low.
  • Under a simplifying assumption the treatment model becomes linear, so we can solve the model explicitly.
  • The treatment model predicts exponential decay of the virus, and matches well to real data.

Chapter references

  • This chapter is based on models by Perelson and Nelson (1999).

Annotate

Next Chapter
Introducing models of cancer dynamics
PreviousNext
Biology

Copyright © 2023

            Introducing Mathematical Biology by Alex Best is licensed under a Creative Commons Attribution 4.0 International License, except where otherwise noted.
Powered by Manifold Scholarship. Learn more at
Opens in new tab or windowmanifoldapp.org