Skip to main content

Chapter 7: Probability: CHapter7_Probability

Chapter 7: Probability
CHapter7_Probability
  • Show the following:

    Annotations
    Resources
  • Adjust appearance:

    Font
    Font style
    Color Scheme
    Light
    Dark
    Annotation contrast
    Low
    High
    Margins
  • Search within:
    • Notifications
    • Privacy
  • Project HomeClear-Sighted Statistics
  • Projects
  • Learn more about Manifold

Notes

table of contents
  1. CHapter7_Probability

Clear-Sighted Statistics

Chapter 7: Basic Concepts of Probability

It is remarkable that a science [probability] that began by considering games of chance should itself be raised to the ranks of the most important subject of human knowledge.1

--Pierre-Simon Laplace

The most important questions in life are, for the most part, really only problems of probability.2

--Pierre-Simon Laplace

Two seventeenth century French mathematicians, Blaise Pascal and Pierre de Fermat have been considered the founders of probability theory for over 300 years. Between July and October of 1654, Pascal and Fermat exchanged a series of letters about dice games that addressed questions raised by Antoine Gombaud, who was also known as the Chevalier de Méré. Gombaud is often depicted as the gambler in this story.3

With their letters, Pascal and Fermat established the core components of modern probability theory. While only seven of these letters have survived, some of the leading mathematicians of the time were aware of and commented on this correspondence. One was the era’s top scientist, Christiaan Huygens and teacher of the mathematician Gottfried Wilhelm Leibniz, alluded to these letters in 1657. Huygens credited Pascal and Fermat in his preface, “…the more Celebrated Mathematicians of all France [Fermat and Pascal] occupied themselves in this kind of Calculus [probability], so that no person attribute to me the honor of the first Invention which will not belong to me.”4 Huygens illustrated his treatise with gambling problems. Huygens added that these calculations are not just for things of “feeble importance” like gambling when he said, “…I wish to believe that in considering these things more attentively, the reader will perceive shortly that it is not a question of some simple witticism here, but that we cast there the fundamentals of a very interesting and profound speculation.”5

In the seventeenth and eighteenth centuries, mathematicians Jakob Bernoulli, Abraham de Moivre, and Pierre-Simon Laplace would contribute to probability theory. It was at this time that the study of the normal curve was linked to probability, thus making inferential statistics as we know it possible.

Pascal and Fermat were not the first to write about probability. Aristotle discussed it over 2,300 years ago6. In the Rhetoric, Aristotle wrote, “… what is improbable does happen, and therefore it is probable that improbable things will happen.” Even before Aristotle, Plato, in his dialogue called Phaedrus, has Socrates say that the god Theuth invented the favorite tool of probability theorists, dice.7 Clearly the randomness of throwing dice and the patterns that emerge with a large number of throws must have been familiar to the ancients.

Ninety years before the correspondence between Pascal and Fermat, the Italian Gerolamo Cardano wrote about similar concepts of probability.8 Cardano was a physician, mathematician, philosopher, and compulsive gambler. In 1564, he wrote Book on Games of Chance. This book, more a gambler’s manual that an academic treatise, was not published until 1663, years after Pascal and Fermat’s correspondence. Had he managed to publish his book in a timely manner, historians of mathematics might have credited him, not Pascal and Fermat, as the first to develop a modern theory of probability. Galileo also wrote a paper on probability in the early seventeenth century.9

Who was this gambler, Antoine Gombaud, the Chevalier de Méré and how does he figure in the work of Pascal and de Fermat? This title was for a low ranking French nobleman, however, Gombaud was probably neither a nobleman nor a compulsive gambler. He was a well-educated intellectual. Chevalier de Méré was the pen name he used for dialogues he authored about the ethics of the noble life. Based on his writing and his desire to please the aristocracy, he was able to ingratiate himself with members of the court of Louis XIV. According to one historian of mathematics, he “…certainly considered himself a model of courtly behavior and taught his aesthetic principles elegantly to the haut monde [fashionable society]….”10 He was a bit pompous and somewhat dismissive of Pascal. Writing about Pascal, Gombaud declared, “He was a great mathematician who knew nothing but that.”11 Pascal’s genius, however, far eclipsed that of Gombaud.

Had Gombaud gambled, he would have done so in the finest French salons. He was not a down-on-his luck gambler who played dice in dimly lit Parisian taverns and houses of prostitution frequented by the hoi polloi. Gambling at the time was fraught with knavery. Dice were carved from bone, ivory, or wood. Ricky Jay, one of the world’s greatest sleight-of-hand artists, has written a wonderful history of dice, Dice: Deception, Fate, and Rotten Luck. In olden times, dice were not the near perfect cubes used in casinos today. X-rays of antique dice show that they often had drilled holes filled with quicksilver or mercury to make certain outcomes more likely.12 Sleight-of-hand artists, working in these dimly lit gambling halls, easily switched dice to dupe foolish gamblers.

Modern dice used in casinos are made to limit the ability of knaves to cheat.13 Today’s casinos want honest games. Fair games reassure players, which is good for casinos. This is not because casinos have set the odd in their favor. The more gamblers play the more casinos win. Casinos are cash generating machines. It is very rare for a casino to declare bankruptcy. When they do, it is the result of inept management.

Gombaud probably approached Pascal because of his failure to understand why a certain dice bet was not paying off as everyone said it should. The dice game was not the game of Craps played in casinos around the world today.14 With this game a player rolls a pair of dice 24 times. Gombaud wanted to know if betting even money on getting a double-six at least once in these 24 throws would be a smart bet.

Figure 1: Double Sixes

A pair of dice showing double-sixes.

An even money bet means that if you bet 10 francs and win, you get 10 francs in addition to your 10-franc bet. Conventional wisdom and his own calculation suggested that this was a good bet. Gombaud’s experience, however, indicated that he was mistaken. He wanted Pascal to help him find the answer. To address this question and other questions, Pascal consulted with Fermat.

About Dice:

A die is a cube. (Dice is a plural noun, the singular for dice is die.) Each cube has six sides with spots called pips. Each of the six sides has one to six pips. There are 36 possible outcomes when you roll a pair of dice, found by 6 * 6 = 36. Table 1 shows all possible outcomes for rolling a pair of dice. A double-six is only one of these 36 outcomes. A double-six happens only approximately 2.78 percent of the time with fair dice, found by 1 ÷ 36. The probability of not getting a double-six is approximately 97.22 percent, found by 100 percent – 2.78 percent.

Here is Gombaud’s question: How many times must you roll a pair of dice to have at least a 50 percent chance of rolling a double-six? If the answer is more than 24 rolls, betting on double sixes would be a sucker’s bet.

Table 1: Sample Space for Rolling a Pair of Dice

Sample space for rolling two dice

The formula to solve this problem is:

Equation 1: Solution to Gombaud’s Question

Pn = 1 – Qn

Where: Pn is the probability of getting a double-six

n is the number of rolls

Qn is the probability of a double-six out of n roll

What is the probability of not getting a double-six in 24 rolls? To repeat, the probability of not getting a double-six on a single roll is 1 – 1/36 = 35/36 or approximately 97.22 percent of the time. The answer to Gombaud’s question is 0.972224, 0.9722 to the 24th power. Solving this problem without a handheld calculator or Microsoft Excel is time consuming. You would have to multiply 0.9722 by itself 24 times. Excel reports the answer—0.5086—in a flash of a second. With 24 rolls you have approximately a 50.68% probability of not getting a double-six. This means that approximately 49.14 percent of the time you will get a double-six, found by 1 – 0.5068). Betting even money on getting a double-six in 24 rolls of the dice is not a smart bet. One must roll the dice 25 times to have at least a 50 percent chance of rolling a double-six. Rolling the dice 25 times gives you a 50.55 percent chance of getting at least one double-six. Unfortunately for the gamblers of Gombaud’s time, the game did not allow for 25 rolls. One might suspect that the gambling houses that took this bet, had very good skills calculating probability.

Figure 2: Solution to Antoine Gombaud’s Problem

Solution to Antoine Gombaud's Problem

I. Introduction

After completing this chapter, you will be able to:

• Discuss Andrey Kolmogorov’s three probability axioms.

• Understand the three approaches to probability: Classical, empirical, and subjective.

• Calculate probabilities using the special rule of addition, general rule of addition, the complement or subtraction rule, special rule of multiplication, and the general rule of multiplication.

• Understand the law of large numbers, the gambler’s fallacy, and the probability of winning the lottery jackpot.

• Use the rules of counting: Multiplication formula, factorials, combinations, and permutations.

• Discuss the perplexing Monty Hall Paradox.

• Appreciate the importance of Bayes’ theorem.

• Discuss how the misuse of probability can cause serious problems.

• Be aware of Pascal’s Wager as it relates to subjective probability and decision theory

This chapter contains three files, which you should download:

1. Chapter07_Gombaud_Solution.xlsx,

2. Chapter07_FACT_COMBIN_PERMUT.xlsx,

3. Chapter07_Exercises.xlsx.

II. Kolmogorov’s Three Probability Axioms

Mathematical disciplines—calculus, algebra, trigonometry—are developed from axioms. In mathematics, axioms are propositions that are considered true without proof and serve as the basis for deducing mathematical theorems. Probability is the mathematics of measuring the likelihood that events will happen. In 1933, Russian mathematician and statistician, Andrey Kolmogorov published Foundations of the Theory of Probability. Kolmogorov stated that his goal was for probability to be based on axioms like other mathematical disciplines.15 Here are Kolmogorov’s three probability axioms stated without mathematical formulas.

Axiom 1: The probability of any event happening must be greater than or equal to zero.

There are no negative probabilities. An event that has a zero probability is impossible. For example, Donald J. Trump has a zero probability of becoming pregnant. Men, especially those in their seventies, are biologically incapable of this feat. Events that are possible, must have a probability greater than zero.

Axiom 2: The highest probability of an event is 1 or 100 percent.

When a pair of dice are thrown there is a 100 percent probability that the outcome will be either a 2, 3, 4, 5, 6, 7, 8, 9, 10, 11, or 12. When the stock market closes, there is a 100 percent probability that the Dow Jones Industrial Average will go up, remain the same, or go down. Basically, if you add the probability of all possible events, the total probability must equal 100 percent. There is no event, or series of events, that has a probability greater than 1 or 100 percent.

Axiom 3: The probability of a series of events that can happen at the same time can be found by adding the probability of each event.

This axiom can be explained by looking at the modern dice game called Craps. Before the dice are thrown for the first time, players must place one of two bets: Pass or Don’t Pass. If the first roll—the “come-out roll”—is a 7 or 11, a player who makes a Pass bet wins. If the come-out roll is a 2, 3, or 12, the player loses. If the number is a 4, 5, 6, 7, 8, 9, or 10, then that specific number is the player’s “point.” The dice shooter, continues to throw the dice until she throws the point number, in which case she wins, or a 7, in which case she loses. Based on the sample space for throwing a pair of dice shown in Figure 2, the probability of throwing a 7 or 11 is 22.23 percent found by adding the probability of a 7, 16.67 percent, and the probability of an 11, 5.56 percent. The probability of throwing craps, which is defined as a 2, 3, or 12 is 13.90 percent, found by adding the probabilities of these outcomes: 2.78 percent plus 5.56 percent plus 5.56 percent. The probability of rolling a 4, 5, 6, 8, 9, or 10 is 0.6377. The probability of rolling a 2 through 12 equals 100 percent found by 0.2233 + 0.1390 + 0.6377.

The probability of any event is between zero and one. A zero probability means that the event is impossible and one means that it is certain. Probabilities are expressed as either:

1. Fractions: The probability of rolling a pair of dice and getting a 12 is 1/36.

2. Decimals: The probability of rolling a pair of dice and getting a 12 is 0.027777, which rounds to 0.0278.

3. Percentages: The probability of rolling a pair of dice and getting a 12 is 2.78%.

4. Odds: The probability of rolling a pair of dice and getting a 12 is 1:35 (pronounced 1 to 35); which is to say, you would have one success, defined as a roll with a 12, compared to 35 failures, a roll without a 12.

III. Basic Probability Vocabulary

There are some basic probability terms you need to know:

1. Experiment: An experiment is a planned process carried out under controlled conditions that leads to one and only one of several possible outcomes. We conduct experiments because the results cannot be predicted with 100 percent certainty. Rolling a pair of dice a certain number of times and recording the results is an experiment. So is asking people who they intend to vote for in an election, or whether they will buy a particular product. Experiments can be infinitely repeated.

2. Outcome: An outcome is the result of a particular experiment. Getting a head when the coin is flipped, having someone say that he or she intends to vote for 89-year-old former Alaska senator Mike Gravel in the 2020 Democratic presidential primary (the probability of this event was near zero even before he dropped out of this race), or having someone say that he or she intends to purchase Golden Crisp cereal the next time he or she buys ready-to-eat cereal. By the way, the probability that Senator Gravel will not run for president again is 100 percent because he died in 2021.

3. Event: An event is a set of outcomes when an experiment is conducted.

4. Sample Space: A sample space is a list of every possible event of an experiment. A sample space can be infinite or finite. An infinite sample space is when there are no limits to the outcomes. The poet Henry Wadsworth Longfellow offers an excellent example of infinite probability in the first stanza of “The Arrow and the Song.”

“I shot an arrow into the air,

It fell to earth, I knew not where;

For, so swiftly it flew, the sight

Could not follow it in its flight”16

The probability of where Longfellow’s arrow will land is infinite.

A finite sample space is when there are a limited number of outcomes. If we were to flip a fair coin, there are two possible outcomes: heads (H) or tails (T). If we flip this coin three times, there are only eight possible outcomes, found by 2 * 2 * 2. Table 2 shows the finite sample space for flipping a fair coin three times.

Table 2: Sample Space for Flipping a Fair Coin Three Times

Figure 3 shows the sample space for rolling a pair of dice. Note that rolling a 2 or a 12 has a probability of 1/36 while rolling a 7 has a probability of 6/36.

Figure 3: Sample Space for Rolling 2 Dice

Sample Space for Rolling 2 Dice

5. Mutually Exclusive Events: An event is considered mutually exclusive when its outcome means that no other outcome can happen at the same time. Kolmogorov’s third axiom is about mutually exclusive events. The outcomes of flipping a coin or rolling a pair of dice are mutually exclusive because you cannot get a head and a tail at the same time or a 7 and a 12 at the same time. Figure 4 shows a Venn diagram of mutually exclusive events. The box is the sample space. Events A and B are mutually exclusive because they do not overlap.

Figure 4: Venn Diagram of Mutually Exclusive Events

Venn Diagram of Mutually Exclusive Events

6. Collectively Exhaustive Events: Events are collectively exhaustive if at least one of the events in the sample space must occur when the experiment is conducted. This is based on Kolmogorov’s third axiom. When you roll a pair of dice, you must get a 2, 3, 4, 5, 6, 7, 8, 9, 10, 11, or 12. These are all of the possible outcomes. The sum of the individual probabilities in a collectively exhaustive set of events must be equal to 1 or 100 percent.

7. Independent Events: Events are independent if the occurrence of one event does not change the probability of the occurrence of another event. If you flip a coin and get a tail, that event has no effect on the following flips. The probability of a head or a tail on subsequent flips remains 50 percent.

8. Conditional or Dependent Events: An event is considered conditional or dependent when the probability of the outcome of an event depends on the outcome of a previous event. The probability of you graduating with honors, depends, to some extent, on your grade for your English composition class.

9. Joint Probability: Joint probability deals with two or more events that can happen at the same time. The probability that it will rain tomorrow and the probability you that will forget to bring an umbrella are two events that can happen simultaneously. Figure 5 shows a Venn Diagram for these non-mutually exclusive events with joint probability. The joint probability is the overlap of events A (it will rain tomorrow) and B (you will forget your umbrella). The joint probability is the likelihood that events A and B will happen at the same time.

Figure 5: Venn Diagram of Joint Probability for Two Non-Mutually Exclusive Events

Venn Diagram of Joint Probability for Two Non-Mutually Exclusive Events

10. The Complement or Subtraction Rule: The complement or subtraction rule is used to find the probability of an event not happening by subtracting the probability that the event will happen from 1. We used the complement rule when we calculated the probability of not rolling a double-six by subtracting the probability of throwing a double-six from 1. You will recall that every time you roll a pair of dice there are 36 possible outcomes. There is only one of these 36 possibilities to role a double-six, 1/36 or a 2.78 percent chance. We write this as P(6,6). The complement of this outcome is P(~6,~6). The tilde, ~, means “not.”

The “complement” of rolling a double-six is found by using the complement rule. We write this as:

Equation 2: Complement Rule

P(~6,~6) = 1 – P(6,6) = 1 – 0.0278 = 0.9722.

Figure 6 shows a graphic representation of this application of the complement rule.

Figure 6: The Complement Rule

The complement of rolling a double-six equals 0.9722.

IV. Three Approaches to Probability, the Law of Large Numbers, and the Gambler’s Fallacy

As shown in Figure 7, there are three approaches to probability. Two are considered objective: Classical probability and empirical probability. The third, subjective probability, as its name suggests, is subjective. Objective probability is based on mathematical or empirical facts. Subjective probability is derived from a person’s judgment and experience. Some statisticians avoid using subjective probability. These statisticians are called frequentists. Statisticians who use subjective probability, are called Bayesians, after Thomas Bayes who is credited with the invention of Bayes’ Theorem, which we will consider later in this chapter.

Figure 7: The Three Approaches to Probability

1. Classical, a priori, or Theoretical Probability

Classical probability applies when we know the probability a priori, or before the events are conducted. The Latin word a priori means “from the former.” The probability is known or calculated before the event takes place. It is used for very basic events like finding the probability for flipping a fair coin, playing dice, selecting the winning numbers of the Powerball or MegaMillions jackpot, or guessing the correct answer on a multiple-choice question without reading it.

We used classical probability to calculate the probability of rolling craps, a 2, 3, or 12. Here is how we write the problem:

Equation 3

P(2, 3, or 12) = P(2) + P(3) + P(12).

We read this as the probability of 2, 3, or 12 equals the probability of 2 plus the probability of 3 plus the probability of 12.

Equation 4: Probability of Craps, 2, 3, or 12

P(2, 3, or 12) = P(2) + P(3) + P(12) = 1/36 + 2/36 + 1/36 =

4/36 = 0.1111 = 11.11%

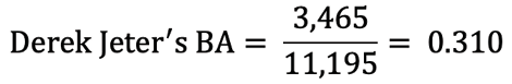
2. Empirical, a posteriori, or Frequentist Probability

Empirical probability applies when the number of times an event happens is divided by the number of observations. Here is the formula for empirical probability:

Equation 5: Formula for Calculating a Batting Average

Empirical probability is considered a posteriori probability. The Latin word a posteriori means “from the later.” Empirical probability is a posteriori probability because we do not know the relative frequencies until after the experiment has concluded. An example of empirical probability would be Derek Jeter’s lifetime batting average. During his career he had 11,195 at bats with 3,465 hits. His lifetime batting average—his relative frequency—was 0.310, found by calculating the relative frequency of Jeter’s hits using the formula shown below in Equation 6:

Equation 6: Relative Frequency of Derek Jeter’s Batting Average

Empirical probability is used extensively in inferential statistical. This approach to the science of statistics is often called frequentist statistics. The frequentist view is what gives credibility to standard estimates based on sampling. If we choose a large enough random sample from a population (for example, if we randomly choose a sample of 1,000 students from the population of all 50,000 students enrolled in a large university), then the average of some measurement of college expenses for the sample would be a reasonable estimate of the average for the population.

3. Subjective or Judgmental Probability

Subjective probability is the heart and soul of Bayes’ Theorem. Subjective probability is founded on the degree of belief that an event will occur. This belief is based on a person’s knowledge, belief, judgment, hunches, and biases.

It was my guess—my subjective probability—that former senator Mike Gravel had a near zero probability of winning the Democratic nomination for president. Apparently Senator Gravel agreed with me, because he officially ended his bid on August 6, 2019. Subjective probability takes into account how new information changes our beliefs and requires us to change our estimate of the probability of an event.

4. The Law of Large Numbers

The law of large numbers was first proven by the Swiss mathematician Jakob Bernoulli in 1713. Basically, this law states that when the sample size increases, the sample statistics more closely approach the population parameters. In the context of probability, the law of large numbers means that the empirical probability approaches the classical probability. The English mathematician, John Venn, describes the law very clearly when he wrote,

Let’s suppose that we toss up a penny a great many times; the results of the successive throws of this series seem to occur in utter disorder….The irregularity of the single instances diminish when we take a large number, and at last seem for all practical purposes to disappear.17

Here are results of some testing of the law of large numbers conducted by famous scientists and mathematicians.

• The French naturalist Comte de Buffon (1707-1788) tossed a coin 4040 times. Result: 2048 heads, a proportion of 2048/4040 = 0.5069 in favor of heads or 50.69 percent.

• Around 1900 the English statistician Karl Pearson heroically tossed a coin 24,000 times. Result: 12,012 heads, a proportion of 0.5005.

• The English mathematician John Kerrich, while imprisoned by the Germans during World War II, tossed a coin 10,000 times. Result: 5067 heads, a proportion of 0.5067.18

Rolling a pair of dice and getting a 12, as you know, is a relatively rare event that happens on average 2.78 percent of the time. You could, however, see a player throw four 12s in a row. This would be an extraordinarily rare event, with a probability of 0.0008 or about 8 times in 10,000, (0.0278 * 0.0278 * 0.0278 * 0.0278 = 0.0008). The law of large numbers states that if you observe hundreds of thousands of throws of the dice, the relative frequency of throwing a 12 will equal the classical probability of 2.78 percent even when you occasionally see four 12s in a row.

5. The Gambler’s Fallacy

We have discussed fools and knaves. Gamblers are often foolish. I had a boss who was once a blackjack dealer in Las Vegas. He would often hear gamblers who lost large sums of money say they would not quit because their winning cards were overdue and they would start winning on the next deal. The Gambler’s or Monte Carlo fallacy is the belief that outcomes which are due to random chance are affected by previous outcomes. The fallacy is that odds do not change. Gambling events are independent events.

Here is an example of the gambler’s fallacy. Suppose you flip a fair coin, which is to say, a common, everyday coin with one head and one tail. You flip the coin ten times and get ten heads. This is a very rare event, 0.5010 or 0.00098. Does this mean that a flip showing a tail is overdue and its odds have increased? No! The classical probabilities do not change. The odds of a tail do not increase. On the 11th flip, the probability for heads remains 0.50 and 0.50 for tails.

IV. The Four Rules of Probability

There are four basic rules of probability: Two that use addition and two that use multiplication.

Figure 8: The Special and General Rules of Addition and Multiplication

Addition Rules:

With the addition rules, the wording of the question either includes the word “or,” or it is implied.

1. The Special Rule of Addition

The special rule of addition deals with the probability of any one of two or more mutually exclusive events occurring. Equation 7 shows the special rule of addition.

Equation 7: The Special Rule of Addition

P(A or B or C)=P(A)+P(B)+P(C)

You will recall that in the game of craps, an opening roll of 2, 3, or 12 loses. There is an 11.11 percent probability of rolling a 2, 3, or 12? We would write this as P(2, 3, or 12). The outcomes of a 2, 3, or 12 are mutually exclusive. Equation 8 shows the formula that solves this problem:

Equation 8: The Probability of Rolling a 2, 3, or 12

2. The General Rule of Addition

The general rule of addition deals with the probability of nonmutually exclusive events occurring. The formula for the general rule of probability is written as:

Equation 9: The formula for the General Rule of Probability

P(A or B)=P(A)+P(B)-P(A and B)

Where P(A and B) is the joint probability.

Figure 9 shows a Venn Diagram that illustrates the general rule of addition.

Figure 9: General Rule of Addition

Venn Diagram for the General Rule of Addition

Here is an example of the general rule of addition. In a deck of playing cards there are 52 cards in four suits: Hearts (which stands for the clergy), Clubs (which stands for the peasants), Diamonds (which stands for merchants and tradesmen), and Spades (which stands for nobility). In each suit there are 13 cards: Ace, 2, 3, 4, 5, 6, 7, 8, 9, 10, Jack (or Knave), Queen, and King. What is the probability of selecting a spade or a King at random from a deck of cards?

The question “Spade or King?” is an “or” question, therefore this is an addition problem.

Figure 10: Deck of 52 Playing Cards

The outcomes, however, are not mutually exclusive because there is a King of Spades, which is the joint probability of a King and a Spade. To solve this problem, we must use the general rule of addition. Equation 10 shows the formula needed to solve this problem:

Equation 10: General Rule of Addition for a King or a Spade

There is a 30.77 percent probability of getting a King or a Spade when drawing a single card at random from a deck of 52 cards.

Multiplication Rules:

With the multiplication rules, the wording of the question includes the word “and,” or it is implied.

1. The Special Rule of Multiplication

The special rule of multiplication applies to “and” questions for two or more independent events. Two events, A and B, are independent when the probability of event A, given that event B has happened” is equal to the probability of event A. With dependent or conditional events, the probability of event A given that event B has happened, does not equal the probability of event A.

Equation 11: Determining Whether Events are Independent

Independent Events: P(A|B) = P(A)

Dependent Events: P(A|B) ≠ P(A)

Please note: P(A|B) is read as the “probability of A given that event B has happened.”

Equation 12 shows the formula for the special rule of multiplication:

Equation 12: Special Rule of Multiplication

P(A and B and C)=P(A)*P(B)*P(C)

We would say this as “The probability of A and B and C equals the probability of A times the probability of B times the probability of C.”

Pascal and de Fermat used the special rule of multiplication to solve Antoine Gombaud’s question about rolling double-sixes What is the probability of not rolling a double-six 24 times in a row? You will recall the probability of not getting a double-six on one roll is 0.9722, found by 1 – 0.0278 (probability of a double-six). We would write this as:

Equation 13: Probability of No Double-Six in 24 Rolls

P(~6.~6|24 rolls) = P(no double-six1) * P(no double-six2) *…*P(no double-six24)=

= 0.972224 = 0.5086

Microsoft Excel’s POWER Function would make quick work of this calculation:

Figure 11: Excel’s POWER Function

Excel's POWER function

The probability of not rolling a double-six in 24 rolls is 50.86 percent.

2. The General Rule of Multiplication

The general rule of multiplication applies to probabilities that are conditional or dependent. Here is the formula for the general rule of multiplication:

Equation 14: Formula for the General Rule of Multiplication

P(A and B) = P(A) * P(B|A)

We read this as “the probability of A and B equals the probability of A times the probability of B given that A has already occurred.

Suppose you open a bag of M&M’s and select one piece, which you eat. You do this two more times. What is the probability that all three candies will be red? The probability of red and red and red suggests that you must use one of the multiplication formulas. The fact that you eat the candies after you select them, makes these events conditional.

Table 3 shows a frequency table of the distribution of M&Ms colors.

Table 3: Frequency Table for the Distribution of M&Ms Colors in a Bag of M&Ms

The general rule of multiplication formula for selecting three M&Ms without replacing any of the candies:

Equation 15: Formula for Selecting 3 M&Ms

P(R1 and R2 and R3) = P(R1)*P(R2|R1)*P(R3)*P(R3|R2)

13/57 * 12/56 * 11/55 = 0.2280 * 0.2143 * 0.2039 = 0.0098 = 0.98%

There is a 0.98 percent chance of selecting three red M&Ms when the candies are not returned to the bag.

A Note On Notation

Throughout this discussion of the rules of addition and multiplication, we have used “or” for addition and “and” for multiplication. We often see “union” used for “or” and “intersection” used for “and.” Union and intersection have their own symbols, which can be seen in Table 4. The symbols for union is ∪ and the symbol for intersection is ∩.

Table 4: Differences in Probability Notation

V. The Monty Hall Paradox

Meet Marilyn vos Savant.19 She is a weekly columnist for Parade magazine, a monthly Sunday magazine that is distributed in more than 700 newspapers. Her column is called “Ask Marilyn.” She is billed as the “world’s smartest woman” based on her extraordinarily high IQ. Her column features questions about mathematics, science, and logic. In September 1990, she created a huge hubbub about a probability problem known as the Monty Hall Paradox. he was the first person to present this enigma to a popular audience. Professional statisticians were aware of the Monty Hall Paradox well before Ms. vos Savant’s column appeared. In 1975, Professor Steve Selvin, a biostatistician from the University of California at Berkeley, wrote two letters to the editor of American Statistician regarding the solution to this problem.20

Monty Hall was the host of a popular television game show called “Let’s Make a Deal.” He hosted this program from 1960 to 1976. Contestants dressed up in outrageous costumes hoping that Hall would call them to the stage where they could win fabulous prizes. The Monty Hall Paradox is a probability problem based on one of the games Hall played with contestants.

Here is the game: A lucky contestant is selected from the audience. Imagine that you are that contestant called to the stage. Before you are three garage doors. Hall tells you to pick one of the doors and that you will win whatever is behind it. He then informs you that behind one door is a brand new car and behind each of the other doors is a goat. You have no need for a goat, but winning a new car would be great.

What is the probability of selecting the door that is hiding the car? That is an easy question: Three doors, one car, that is a 1/3 = 0.3333 = 33.33 percent chance of picking the door with the car. You pick Door A. But, it really does not matter which door you select. Now the game gets interesting. Hall is going to mess with your head. He opens either Door B or Door C to reveal a goat. Yes, he knows which door conceals the car. You do not know whether your door has the car or the other goat. Hall then turns to you and asks, “Do you want to stay with Door A or do you want to switch to the unopened door?”

What should you do? Marilyn vas Savant’s solution was to switch doors. This suggestion caused a very hostile reaction. She received over 10,000 abusive letters telling her she was wrong.21 Some of these writers claimed to have doctorates in statistics and mathematics. They suggested that because there are only two doors remaining, there is a 50-50 chance of winning.

Here are a few snarky comments she received:22

• “You blew it, and you blew if big!” Scott Smith, PhD, University of Florida

• “May I suggest that you obtain and refer to a standard textbook on probabilities before you try to answer a question of this type again,” Charles Reid, PhD, University of Florida

• “You are utterly incorrect,” Roy Bobo, PhD, Georgetown University

• “I am sure you will receive many letters on this topic from high school and college students. Perhaps you should keep a few addresses for help with future columns.” W. Robert Smith, PhD, Georgia State University

• “You made a mistake, but look at the positive side. If all those Ph.D.’s were wrong, the country would be in some very serious trouble.” Everett Harman, PhD, U.S. Army Research Institute

One of vos Savant’s critics embarrassed himself by suggesting that she was wrong because women looks at math differently than men.23

So, are the odds now 50-50? Is there any advantage to switching doors?

Here is a quick summary of vos Savant’s position: The odds of winning are not 50-50 and your chance of winning improves when you decide to switch doors. By switching doors, the odds of winning the car increase from 33.33 percent to 66.67 percent.

Ms. vos Savant’s solution is correct. In fact, Judea Pearl, the 2011 Turing Award winner and expert on artificial intelligence devoted several pages of The Book of Why to praise vos Savant for the elegance of her solution. Artificial intelligence has a strong basis in probability theory. Pearl writes, “Her solution is actually astounding in its simplicity and more compelling than any I have seen in many textbooks.”24 Here is her solution as explained by Pearl.

The three possibilities if you stay with Door A and three if you switch doors are shown in Table 5:

Table 5: The Three Scenarios if you do not switch doors and if you do switch doors

If you do not switch doors, the probability of winning the new car remains 33.33 percent. But, when you switch doors, the chance of winning the car doubles to 66.67 percent. Pearl goes on:

The key element in resolving this paradox is that we need to take into account not only the data (i.e., the fact that the host opened a particular door) but also the data generating process—in other words, the rules of the game. They tell us something about the data that could not have been observed. No wonder statisticians in particular found this puzzle hard to comprehend. They were accustomed to, as R. A. Fisher (1922) put it, “the reduction of data” and ignoring the data-generating process.25

Professor Steve Selvin presented a slightly different scenario.26 His scenario does not have goats. Instead, there are three locked boxes. One box contains the keys to a new Lincoln Continental. The contestant chooses Box B. Hall then askes the contestant if she will take $100 for the box. She refuses, and she refuses when Hall raises his bid to $200. Hall then opens Box A. It does not have the keys. Hall now says to the contestant, “ Since there are two boxes left, the probability of your box containing the keys is not ½. I’ll give you $1000 cash for the box.” Selvin asks, Is the probability of winning the car ½ or 1/3?” The contestant then makes Hall an offer. She says, “I’ll trade your Box B for Box C.”

Table 6 shows all the possibilities. If the contestant makes the trade, her probability of winning is 6/9 or 2/3. If the trade is not made, the probability is only 3/9 or 1/3.

Table 6: All Possible Outcomes When the Contestant Switches Boxes

We can also solve the Monty Hall Paradox using Bayes’ Theorem, which we will now turn to.

VI. Bayes’ Theorem

The Reverend Thomas Bayes was a nonconformist minister who died in 1761. The nonconformists were English Protestants who did not “conform” to the established Church of England. As a minister, it is not surprising that he objected to the empiricism espoused by one of the greatest philosophers of his time, David Hume. In 1748, Hume published his An Enquiry Concerning Human Understanding, where, in Section X, he claimed: 1) It is not reasonable to subscribe to any “system of religion” unless that system can be validated by the occurrence of miracles, and 2) the belief in miracles is not rational, and therefore, cannot be used to validate a religion.27

Some speculate that Bayes became interested in probability theory to refute Hume.28 Upon his death, Bayes friend Richard Price was charged with going through Bayes papers. Price was also a nonconformist preacher. And, like Bayes, he was much more than that. Price wrote extensively on moral and political philosophy. He was a strong advocate for the American and French Revolutions. His support for the French Revolution inspired the conservative politician Edmund Burke’s famous rebuttal, Reflections on the Revolution in France. But, we are not interested in political theory here.29 Price also wrote about life insurance. Yes, life insurance. Price’s focus on life insurance is what is interesting for students of probability. Insurance, with its actuarial tables, is based on probability. Christiaan Huygens was correct; people did take up the study of probability to understand less trivial matters than winning at dice.

While rummaging through Bayes’ papers, Price found an unpublished manuscript, An Essay Towards Solving a Problem in the Doctrine of Chance. Price, thought Bayes’ argument helped show that multiple accounts of Christ’s resurrection confirm the miracles upon which Christianity is based. Price edited the paper and presented it to the Royal Society two years after Bayes’ death. Bayes’ argument was based on a concept called “inverse probability,” which would become the essence of what would be called Bayes’ Theorem. Inverse probability is an old term for a probability distribution with an unobserved variable. In 1774, Pierre-Simon Laplace, working independently of Bayes and Price, developed similar ideas about probability. Laplace named this formula after Thomas Bayes.

Despite the fact that many mainstream statisticians did not like subjective probability upon which Bayes’ Theorem is based, it has been used to solve many perplexing problems. During World War II, Alan Turing used it to break Nazi Germany’s Enigma Code, which shortened the war. Turing is the British mathematician for whom the Association of Computing Machinery’s Turing Award is named. The U.S. Navy used Bayes’ Theorem during the Cold War to locate Soviet submarines. Statisticians used it to determine authorship of the Federalist Papers. Judah Pearl uses it to develop machines with artificial intelligence.30

Bayes’ Theorem is based on conditional probability. It allows for the evaluation of conditional events based on prior probability and posterior probability. Prior probability is the initial estimate of probability based on the present level of knowledge or judgment. Posterior probability is the updated probability based on new information. Here is the basic formula for Bayes’ Theorem:

Equation 16: Basic Formula for Bayes’ Theorem

The Probability of A given B1, P(A|B1) is the posterior probability of the event A, given that the event B1 has occurred. The posterior probability is equal to the likelihood of the of the prior probability of the event, P(A) times the probability of event Bk, given that event A has occurred, P(B|A).

Here is the solution to the Monty Hall Paradox using Bayes’ Theorem.

The prior probability, based on classical probability, is that each door has a 1/3 chance of having the car:

Table 7: Prior Probabilities for the Monty Hall Paradox where A = Door A, B = Door B, and C = Door C

An event happens. You select Door A. Hall opens either Door B or Door C. He never opens the door hiding the car. Hall asks, “Do you want to switch to Door C?” This requires us to calculate three conditional probabilities:

1. What is the probability of Hall opening Door B if the car is behind Door A? Hall has a 50 percent probability of opening either Door B or Door C. It really does not matter which of these doors Hall opens. Therefore: P(Open B|Car@A) =1/2 = 0.50.

2. What is the probability of Hall opening Door B if the car is behind Door B?

P(Open B|Car@B) = 0. Hall would never open the door concealing the car at this stage of the game. We can forget about this conditional probability because we know there is a zero probability that the car is behind the open Door B.

3. What is the probability of Hall opening Door B if the car is behind Door C? With this scenario, Hall’s only choice is to open Door B. Therefore: P(Open C|Car@C) =1. Remember: Hall will only reveal the car at the end of the game.We can now calculate the posterior probabilities for not switching to Door C and switching to Door C:

Staying with Door A:

Equation 17: Posterior Probability for Not Switching Door =33.33%

Switching to Door C:

Equation 18:Posterior Probability for Switching Doors = 66.67%

When Hall opened Door B, he gave you additional data, which should change you calculation of the probability of winning the car. The probability of winning the car jumps from 1/3 or 33.33 percent to 2/3 or 66.67 percent when you switch to Door C. If you do not switch, the probability of winning the car remains 33.33 percent.

So, you are very clever. You decide to switch to Door C. Hall opens that to reveal one very cute goat. You lost! Of course, if you had the opportunity to play repeated versions of this game you would win two-thirds of the time. Do not be upset. You do not have to keep the goat, and Hall is going to mail you a check for $100 as a consolation prize.

Bayes theorem can be used for more serious problems than figuring out the odds of winning a car on a popular game show. Let’s turn to the problem of prostate cancer, the most common cancer that affects men, and the second leading cause of cancer deaths for men behind lung cancer. To detect prostate cancer men are given the Prostate-Specific Antigen (PSA) test. For men aged 60 up to 70-years-old, a PSA greater than or equal to 4.0 suggests that the patient might have prostate cancer. Of course, there are false positives, a patient’s PSA is greater than or equal to 4.0 and he does not have prostate cancer, or false negatives, a patient’s PSA is less than 4.0 and he has prostate cancer. Approximately 0.0840 of men in this age group will have elevated PSA results. Eighty percent of these men will have prostate cancer, 20 percent will not have it (false positive).

Of the 91.6 percent of men who do not have elevated PSA results, 75 percent do not have prostate cancer, 25 percent have this disease (false positive). Table 7 shows the prior probability, the posterior probability, and the joint probability.

Table 8: PSA Test for Men 60 up to 70-years-old, PSA ≥ 4.0 Suggests Prostate Cancer

A tree diagram is commonly used to chart these calculations. Figure 12 shows a tree diagram for a man aged 60 up to 70 years-old and the probability of having prostate cancer based on their PSA test results:

Figure 12: Tree Diagram for Prostate Cancer for men 60 up to 70-years-old

Bayesian Statistics

There is a branch of statistics called Bayesian statistics. This term was coined by Ronald A. Fisher, who is considered a frequentist statistician; which is to say, a statistician who advocates only the empirical or relative frequency approaches to probability. Fisher was a lifelong critic of Bayesian statistics and subjective probability despite the fact that he admired Thomas Bayes and considered the reverend a frequentist too.31 Bayesian statistics is concerned with the consequences of modifying previous hypotheses as we gather new data. As a basic, introductory textbook, Clear-Sighted Statistics will not cover Bayesian statistics other than a very brief discussion in Chapter 19.

VII. The Rules of Counting

There are three principles of counting that are often used in probability and statistics. They are the multiplication principle, combinations, and permutations. Combinations and permutations use factorial numbers.

A. Multiplication Principle

The multiplication principle, which must never be confused with the special or general rules of multiplication, is used to count the number of possible outcomes of an experiment. The multiplication principle states that if an event has m possible outcomes and a second independent event has n possible outcomes, then there are m * n possible outcomes for these two independent events. When there are three independent events, there are m * n * o possible outcomes.

Here is an example of the multiplication principle from everyday life. An executive owns 15 dress shirts and 8 neckties. How many combinations of shirts and ties does he have?

Equation 19: Multiplication Principle 1

15 * 8 = 120

The executive also owns 6 suits. How many combinations of shirts, ties, and suits does he have?

Equation 20: Multiplication Principle 2

15 * 8 * 6 = 720

The executive also owns 5 pairs of dress shoes. How many combinations of shirts, ties, suits, and shoes does he have?

Equation 21: Multiplication Principle 3

15 * 8 * 6 * 5 = 3,600

B. Factorial Numbers (n!)

Factorial numbers are positive integers multiplied by each of the positive numbers smaller than it. Factorial numbers are symbolized by an exclamation mark (!). Factorial numbers count the number of ways n objects can be arranged. Factorials are used in probability to calculate combinations and permutations. Factorial numbers are always whole numbers. A whole number is a “counting” number: 0, 1, 2, 3, 4, etc. They are never fractional numbers like 24.50. Microsoft Excel has a handy function for calculating factorial numbers, =FACT(number or cell reference that contains a whole number). Figure 13 contains the factorials 1! Through 10! Calculated by hand and with Excel’s FACT function. These data can be found in Chapter07_FACT_COMBIN_PERMUT.xlsx in the Factorials worksheet.

Figure 13: Factorial Numbers 1! through 10!

Microsoft Excel

It should be pointed out that zero factorial, 0!, equals 1. This is because there is only one way to arrange data with no values.

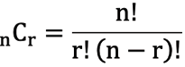
C. Combinations

Combinations are the number of ways r objects can be selected from n objects when the order of selection does not matter. Combinations use factorials. Equation 22 shows the formula for combinations:

Equation 22: Combination Formula

Where: n is the total number of objects;

r is the number of objects selected;

nCr is pronounced as the combination of r things selected from n things.

A circus has five elephants. Two elephants will be selected at random for a parade around the fairgrounds. How many arrangements are there of two elephants selected from five elephants? Because the order of selection does not matter, we will use the combination formula as shown in Equation 23:

Equation 23: Combination of 2 Selected From 5

There are ten combinations of two elephants selected from the five. The answer for combinations must always be a whole number greater than or equal to 1.

Microsoft Excel has a handy built-in combinations function: COMBIN(total number, number selected). This function is available in the workbook titled 07_FACT_COMBIN_PERMUT.xlsx in the Combinations worksheet. Figure 14 shows the syntax for this function and the answer for our problem about the combination of two elephants selected from five.

Figure 14: Microsoft Excel COMBIN Function

Microsoft Excels COMBIN function.

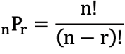
D. Permutations

Permutations are the number of ways r objects can be selected from n objects when the order of selection matters. Like combinations, permutations use factorials. Equation 24 shows the formula for permutations:

Equation 24: Permutations Formula

Where: n is the total number of objects;

r is the number of objects selected;

nPr is pronounced as the permutations of r things selected from n things.

Suppose we have five candidates for the Department of Public Parks. Only two candidates will be selected by the mayor. The first will be the commissioner and the second will be the vice-commissioner. The commissioner gets paid more than the vice commissioner. Clearly order matters. How many arrangements—permutations—of our five candidates are there for the two positions? Equation 25 shows the answer, 20 permutations.

Equation 25: Permutations of 2 Selected from 5

Like the answer for combinations, permutations must always be a whole number greater than or equal to 1. You will also notice when selecting two items from five, there are more permutations than combinations because order matters when we use permutations.

VIII. The Odds of Winning the Powerball Lottery Jackpot

Here is how to play the Powerball lottery. A single ticket costs $2. You select five numbers from 1 to 69 for the white balls. Then you select one number from 1 to 26 for the red ball. The jackpot is $128 million. What is the probability of me winning the jackpot?

Figure 15 shows how the probability for winning the Powerball jackpot is calculated. The data is in the Powerball workbook in the worksheet titled Chapter07_FACT_COMBIN_PERMUT.xlsx. The combinations formula was used to solve this problem because the order of selecting the numbers is not important. The special rule of multiplication was also employed. Using the COMBIN function, for the first number, 1 to 26, there are 26 possible combinations. There are exactly 11,258,513 different ways, or combinations, to select five numbers from 69. Using the special rule of multiplication, there are 292,201,338 possible numbers, found by 26 times 11,258,513.

Figure 15: Odds for Winning the Powerball Jackpot

Odds for Winning the Powerball Jackpot

A single ticket has a 0.0000003422 percent probability of winning the jackpot, found by 1 divided by 292,201,338. The odds of winning are very slim: 1 to 292,201,337. My chance of winning the jackpot is highly improbable. You can say that it is nearly impossible. But, as Aristotle wrote millennia ago, improbable things happen. In case you are wondering, the winning numbers were 35, 41, 44, 58, and 59 with 3 as the Powerball number. My ticket failed to get even one number. There is an 89.19 percent chance of getting none of the white balls nor the red ball. Figure 16 shows how this is calculated. You can also open Losing worksheet in Chapter07_FACT_COMBIN_PERMUT.xlsx.

Figure 16: Probability of No Winning Powerball Numbers

Odds of getting none of the Powerball numbers on a single ticket

IX. Misusing Probability: The Sad Tale of Sally Clark

People abuse statistics and probability all the time. Sometimes they do it because they are knaves who are pushing a scam, sometimes they do so because they are fools who do not know better. When fools make mistakes, the consequences may be as disastrous as a knave’s nefarious scheme. Such is the sad tale of Sally Clark.

Sally Clark was born in the United Kingdom in 1964. She was an attorney, wife, and mother. Her father was a highly decorated senior police officer. On September 22, 1996, she gave birth to her first child, a son she and her husband named Christopher. Tragedy struck when Christopher was 11-weeks-old. He died unexpectedly in his “Moses basket,” which is as small portable crib for very young infants. The coroner ruled that the baby died from natural causes.

Ms. Clark and her husband decided had another child. On November 29, 1997, she gave birth to her son, Harry. Tragedy struck again when Harry was 8-weeks-old. He died in his “bouncy chair.” Again, the coroner ruled the death was due to natural causes. But, later the coroner changed the report to death by smothering.

In July 1998, Ms. Clark was charged with murdering both her infant sons. She would stand trial for multiple infanticides. At her trial, the prosecutor called an expert witness. Dr. Samuel Roy Meadow, a famous pediatrician who had been knighted for his work. He is the author of ABC of Child Abuse. In this book, Dr. Meadow wrote, “One sudden infant death is a tragedy, two is suspicious and three is murder, until proved otherwise.”32 This has come to be known as Meadow’s Law.

Dr. Meadow hypothesized that 40 percent of crib deaths are murders. During Ms. Clark’s trial, the good doctor applied the special rule of multiplication to declare the probability of two Sudden Infant Death Syndromes, or SIDS, in the same family is extremely rare. Dr. Meadow claimed that the probability of a SIDS death is 1 out of 8,544 births. The probability of two SIDS death is about 1 in 73 million births found by:

Equation 26: Probability of Two SIDS Death in Same Family

P(SIDS1 & SIDS2) = 8,544 * 8,544 = 72,999,936

To give some perspective on how rare this number is, at the time there were about 700,000 births a year in the U.K. We would, therefore, expect two double SIDS deaths in a family once every 104 years. The only reasonable conclusion, the prosecutor argued, is that Ms. Clark is a serial baby killer.

In November 1999, based largely on Dr. Meadow’s testimony, Ms. Clark was convicted on two counts of murder. Her conviction caused a great controversy.33 In 2002, after Ms. Clark lost her first appeal, the president of the Royal Statistical Society published an open letter to the High Lord Chancellor of Great Britain to express his grave concerns about how statistical evidence was presented at this trial.34 Others also complained. Four objections are worth noting:

1. The prosecution failed to show that SIDS deaths in the same family are independent events, therefore, the special rule of multiplication does not apply.

2. Dr. Meadow’s testimony was based on probability, but he is not a credible witness because he is not a statistician.

3. The prosecution committed a Prosecutor’s Fallacy. The prosecutor’s fallacy is declaring a defendant guilty because there is a low probability of innocence. This, however, is not sufficient to prove guilt.

4. The prosecution committed an Ecological Fallacy; which is when inferences made about the nature of an individual are deduced from inferences about the group to which that individual belongs.

One point made by the president of the Royal Society of Statistics is so important that I am reproducing it here. It questions the assumption that the two deaths are independent events, which was the basis of the prosecution’s claim of Ms. Clark’s guilt.

The calculation leading to 1 in 73 million is invalid. It would only be valid if SIDS cases arose independently within families, an assumption that would need to be justified empirically. Not only was no such empirical justification provided in the case, but there are very strong reasons for supposing that the assumption is false. There may well be unknown genetic or environmental factors that predispose families to SIDS, so that a second case within the family becomes much more likely than would be a case in another, apparently similar, family.35

Ms. Clark won her second appeal and was acquitted in January 2003; however, she never overcame the trauma of this prosecution and the loss of her two sons. In March 2007 she was found dead of acute alcohol intoxication. For a short time, Dr. Meadow’s medical license was suspended. In the aftermath of the Clark acquittal, hundreds of similar cases were reviewed, and two convicts were set free. Since then medical research has determined that there is a genetic component to infants’ sudden deaths.36

X. Pascal’s Wager, Decision Theory, and Subjective Probability

Blaise Pascal was a very religious man. In Section III of his book Pensées37, Pascal presents a very interesting argument for the benefits of believing in God. This argument is now known as Pascal’s Wager. It is often taught in introductory philosophy courses. So, why are we bringing up Pascal’s argument for believing in God in a statistics book? The answer has to do with the kind of argument Pascal makes. Pascal’s Wager is the essence of decision theory. Decision Theory is a method of making decisions by assigning probabilities to various outcomes of a decision, and then weighing the cost and benefits of the decision. Decision theory is typically not covered in introductory statistics courses.

Unlike Aquinas, Anselm, or Descartes, Pascal does not try to prove the existence of God. Instead he tries to provide his readers with pragmatic reasons for living a righteous life, which includes believing in the Christian God. Pascal contends that his argument holds even when our judgment (subjective probability) suggests that the existence of God is highly unlikely. Believing in God, for Pascal, is the smart bet.

Pascal sets up a two-by-two matrix for his wager. There are four quadrants, one for each of the four possible outcomes:

1. God exists and you wager for God,

2. God exists and you wager against God,

3. God does not exist and you wager for God, and

4. God does not exist and you wager against God.

Table 9: Matrix for Pascal Wager

Let’s say that the odds that God exists are a million to one. God’s existence, therefore, is very unlikely, but still far better than the odds of winning the Powerball lottery. Feel free to change the odds to whatever you like. Pascal would still argue believing in God is the smart bet. The believer, the theist, gets an infinite reward if God exists. This reward is so great that it far out-weighs any finite reward knaves and atheists may enjoy from their debauched lives. In addition, God will provide the non-believer with infinite punishment. As a sixteenth century Catholic, Pascal believes in heaven and hell.

What happens if God does not exist? Yes, the atheist, who had some finite earthy rewards from gambling, cheating, stealing, fornicating, abusing alcohol and drugs, and committing a host of other sins, will not be damned to the fiery pits of hell. Pascal, however, thinks that the atheist will suffer without the solace of religion. The theist, on the other hand, will have a finite reward that may be larger than the rewards atheist may achieve because of the comfort religion brings. I am not so sure. Knave are hardened to the ways of the world. They must have noted that many scoundrels achieve worldly success. Or, as Shakespeare wrote, “Some rise by sin, and some by virtue fall.”38 But if God does exist: The knave is doomed to hell’s eternal torment while the believer will enjoy heaven’s paradise.

There are many objections to Pascal’s Wager. We do not need to investigate them here. If you are interested in them, take a philosophy course. If you want to learn more about decision theory, take advanced statistics and management courses.

XI. Summary

Without probability, statistics would be only about tabulating and charting data. With probability, statistics can make inferences about a population from sample statistics. It can make predictions. It can measure how certain we are about our findings. It is probability that make statistics central to the scientific method. As Bertrand Russell, the twentieth century English philosopher and Nobel laureate, wrote, “…we cannot understand the scientific method without a previous investigation of the different kinds of probability.”39

We are now ready to move into inferential statistics. Here is where we will be going:

• Chapter 8: Discrete Probability Distributions

• Chapter 9: Continuous Probability Distributions - The Normal Distribution

• Chapter 10: Sampling and Sample Errors

• Chapter 11: Confidence Intervals and Estimating Parameters

• Chapter 12: Estimating Sample Size

• Chapters 13-17: Null Hypothesis Significance Testing

• Chapter 18: Linear Correlation and Regression

XII. Exercises

Data for these problems can be found in Chapter07_Exercises.xlsx.

Exercise 1: Select two items out of a total of nine.

1. How many permutations are there?

2. How many combinations are there?

3. Calculate your answers by hand. Check your answers using Microsoft Excel.

Exercise 2: A company has accepted a shipment of 75 new desks: 50 are made with maple and 25 with oak. The company will deliver three of these desks to the human resources department. The new desks will be selected at random.

1. What is the probability that all three desks are maple?
P(Maple and Maple and Maple).

2. What is the probability that all three desks are oak?
P(Oak and Oak and Oak).

Exercise 3: A student is taking Calculus and English Composition this semester. The probability that his student will get an A in Calculus is 0.85 and the probability of an A in English Composition is 0.90. The probability of getting an A in both courses is 0.80. What is the probability of getting an A in at least one?

Exercise 4: A student is taking Statistics and Introduction to Accounting this semester. The probability that the student will pass Statistics is 0.60 and the probability of passing Introduction to Accounting is 0.70. The probability of passing both courses is 0.50. What is the probability of passing at least one?

Exercise 5: In a group of 100 students, 60 are freshman, 55 are female, and 22 are female freshman. Find the probability that a student picked from this group at random is either a freshman or female.

Exercise 6: At Bayside State University, 67% of students pay their tuition using a credit card. What is the probability that the next 4 students will pay their tuition using a credit card?

Exercise 7: A bag contains 100 marbles: 50 are Red, 25 are Blue, and 25 are Black. What is the probability of selecting a Red marble at random and a Red marble on the second pick, assuming the first red marble is not returned to the bag?

Exercise 8: A bag contains 6 red marbles and 4 black marbles. Two marbles are drawn randomly from the bag without replacing the marbles. What is the probability of selecting two black marbles?

Exercise 9: In Bayside County, 45% of voters are registered Democrats. If three voters are selected at random, what is the probability that all three are registered Democrats?

Exercise 10: Bayside State University, 85% of the students are undergraduates, 45% of the students are male, and 48% of the undergraduates are male. What is the probability of randomly selecting a student who is either male or an undergraduate?

Exercise 11: In New York City, the New York Times is read by 52% of the households, the New York Post is read by 18% of the households, and 14% of the city’s households read both newspapers. What is the probability of a particular household reading at least one of these newspapers?

Exercise 12: In a management trainee program, 80% of the trainees are female, 20% male. 90% of the females attended college, 78% of the males attended college. A management trainee is selected at random. What is the probability that the person selected is a female who did not attend college?

Exercise 13: The MegaMillions Lottery costs $2 a ticket. Here is how the game is played: Players pick six numbers from two separate pools of numbers: Five different numbers from 1 to 70 (the white balls) and one number from 1 to 25 (the gold Mega Ball).

1. What is the probability that any $2 ticket will have the six winning numbers for the jackpot?

2. What is the probability that your ticket will not have any of the winning numbers?

3. Which lottery is easier to win, MegaMillions or Powerball?

Except where otherwise noted, Clear-Sighted Statistics is licensed under a
Creative Commons License. You are free to share derivatives of this work for
non-commercial purposes only. Please attribute this work to Edward Volchok.

Endnotes

1

Pierre-Simon Laplace, Philosophical Essays on Probability. Translated from the 5th French edition of 1825 by Andrew I. Dale, (New York: Springer-Verlag, 1995), p. 123.

2 Pierre-Simon Laplace, Philosophical Essays on Probability. Translated from the 5th French edition of 1825 by Andrew I. Dale, (New York: Springer-Verlag, 1995), p. 1.

3 Keith Devlin, The Unfinished Game: Pascal, Fermat, and the Seventeenth Century Letters that Made the World Modern, (New York: Perseus Books, 2008), p. 14.

4 Christiaan Huygens, On Reckoning in Games of Chance, translated by Richard J. Pulskamp. p. 2. https://www.cs.xu.edu/math/Sources/Huygens/sources/de%20ludo%20Aleae%20-%20rjp.pdf.

5 Christiaan Huygens, On Reckoning in Games of Chance, translated by Richard J. Pulskamp. p. 2.

6 “For what is improbable does happen, and therefore it is probable that improbable things will happen.” Aristotle, Rhetorica, Book II, Chapter 24, 1402a, 2-13. Page 1431. I tell myself this every time I buy a ticket for the Mega Millions or Powerball lotteries. These lotteries are sucker’s bets.

7 Socrates: “At the Egyptian city of Naucratis, there was a famous old god, whose name was Theuth; the bird which is called the Ibis is sacred to him, and he was the inventor of many arts, such as arithmetic and calculation and geometry and astronomy and draughts and dice, but his great discovery was the use of letters.” line 274 B. location 1372 in the Kindle edition. In Plato, Phaedrus. Translator, Benjamin Jowett. (Kindle edition, Amazon). Please note: While the philosopher Socrates was a real person, he never wrote a word. Plato, his student, placed Socrates as the chief character in all of his philosophical dialogues except one, the Laws.

8 Eric T. Bell. The Development of Mathematics (Mineola, NY, Dover Publications, 1992) , p. 154.

9 Keith Devlin, The Unfinished Game: Pascal, Fermat, and the Seventeenth-Century Letters that Made the Modern Work, (New York: Perseus Book, 2008), p. 19.

10 Øystein Ore, “Pascal and the Invention of Probability Theory,” The American Mathematical Monthly. Vol. 67, No. 5, May 1960. p. 409.

11 Gombaud quoted by Øystein Ore in Øystein Ore, “Pascal and the Invention of Probability Theory,” The American Mathematical Monthly. Vol. 67, No. 5, May 1960, p. 410.

12 Ricky Jay, Dice: Deception, Fate, and Rotten Luck, (New York: The Quantuck Lane Press, 2003), p. 10.

13 “11 Casino Dice Security Measures to Keep Players from Cheating.” VitalVegas.com. https://vitalvegas.com/casino-dice-security-measures-cheating/.

14 Ricky Jay provides a very concise explanation of Craps. “A players rolls two dice. If they total seven or eleven he wins, if two, three, or twelve he loses. Any other total rolled is called his ‘point,’ and he must then try to throw for his point. If he rolls his point before seven comes up he wins, if seven comes up first, he loses.” Dice: Deception, Fate, and Rotten Luck, p. 36.

15 Andrey N. Kolmogorov, Foundations of the Theory of Probability, Second English Edition, Nathan Morrison translator, (Mineola, NY: Dover Publications , 1956), p. 1.

16 Henry Wadsworth Longfellow, “The Arrow and the Song.” https://www.poetryfoundation.org/poems/44624/the-arrow-and-the-song.

17 John Venn, The Logic of Chance, (New York: Macmillan and Co., 1888), p. 5. https://www.gutenberg.org/files/57359/57359-pdf.pdf?session_id=f8e5d65d3d582f016bc0318bb806f63e4efe975f.

18 David S. Moore “Uncertainty” in Lynn Arthur Steen (ed). On the Shoulders of Giants: New Approaches to Numeracy. (Washington, DC: The National Academies Press, 1990). pp. 97-98.

19 Vos Savant is her real name. The word “savant” means a person who is a profound scholar.

20 Steve Selvin, Letter to the Editor, The American Statistician, Vol. 29, No. 1, February1975, p. 67. Steve Selvin, Letter to the Editor, The American Statistician, Vol. 29, No. 3, August 1975, 134.

21 Zachary Crocket, “The Time Everyone ‘Corrected” the World’s Smartest Woman,” Priceonomics, February 19, 2015. . https://priceonomics.com/the-time-everyone-corrected-the-worlds-smartest/.

22 Judea Pearl and Dana MacKenzie, The Book of Why: The Science of Cause and Effect. (New York: Basic Books, 2018), pp. 191. Zachary Crocket, “The Time Everyone ‘Corrected” the World’s Smartest Woman,” Priceonomics, February 19, 2015. . https://priceonomics.com/the-time-everyone-corrected-the-worlds-smartest/.

23 Zachary Crocket, “The Time Everyone ‘Corrected” the World’s Smartest Woman,” Priceonomics, February 19, 2015. . https://priceonomics.com/the-time-everyone-corrected-the-worlds-smartest/.

24 Judea Pearl and Dana MacKenzie, p. 191.

25 Judea Pearl and Dana MacKenzie, p. 192.

26 Steve Selvin, “Letters to the Editor,” The American Statistician, Vol. 29, No. February 1975, p. 67.

27 David Hume, An Enquiry Concerning Human Understanding, Section X. https://davidhume.org/texts/e/10.

28 Jordana Cepelewicz, “How a Defense of Christianity Revolutionized Brain Science,” Nautilus. December 20, 2016. . http://nautil.us/blog/how-a-defense-of-christianity-revolutionized-brain-science.

29 As a political theory graduate student, I wrote a seminar paper on Richard Price’s ideas on political revolution. My professor urged me to turn this paper into my doctoral dissertation. I chose not to.

30 For a fascinating book of Bayes’ Theorem see, Sharon Bertsch McGrayne, The Theory That Would Not Die: How Bayes’ Rule Cracked the Enigma Code, Hunted Down Russian Submarines, and Emerged Triumphant from Two Centuries of Controversy, (New Haven, CT: Yale University Press, 2012).

31 John Aldrich, “R. A Fisher on Bayes and Bayes’ Theorem,” Bayesian Analysis, Vol. 3, No. 1, 2008, pp. 161-170.

32 Samuel Roy Meadow, ABC of Child Abuse, (London: BMJ Books, 1997), p. 100.

33 David Derbyshire, “Misleading Statistics Were Presented as Facts in the Sally Clark Trial.” The Telegraph, June 12, 2003. https://www.telegraph.co.uk/news/uknews/1432762/Misleading-statistics-were-presented-as-facts-in-Sally-Clark-trial.html.

34 The Lord Chancellor is appointed by the Queen to the British cabinet. The person who holds this office is the head of the Judiciary. Professor Peter Green, as the president of the Royal Statistical Society, wrote the open letter, which has been reprinted in Richard Nobles and David Schiff, “Misleading Statistics Within Criminal Trials: The Sally Clark Case,” Significance, March 2005. https://rss.onlinelibrary.wiley.com/doi/epdf/10.1111/j.1740-9713.2005.00078.x.

35 Professor Peter Green’s open letter to the Lord Chancellor, re-printed in Richard Nobles and David Schiff, “Misleading Statistics Within Criminal Trials: The Sally Clark Case,” Significance, March 2005, p. 19.

36 Siri H, Opdal and Torleiv O. Rognum, “The Sudden Infant Death Syndrome Gene: Does It Exist?” Pediatrics, Vol. 114, No. 4, October 2004, pp. e506-512. DOI: 10.1542/peds.2004-0683.

37 Blaise Pascal, Pensées. W. F. Trotter translator. (New York: E. P. Dutton & Co., 1958).

38 William Shakespeare, “Measure for Measure,” Act 2 Scene 1. Line 38. The Complete Works. Compact Edition. (Oxford, UK: Clarendon Press, 1994), p. 795.

39 Bertrand Russell, Human Knowledge: Its Scope and Limits, p. 354. (London: George Allen and Unwin Ltd., 1923), p. 354.

Annotate

Creative Commons
Powered by Manifold Scholarship. Learn more at
Opens in new tab or windowmanifoldapp.org