Skip to main content

Bridging Mathematics, Physics, and Computer Science in an undergraduate research project “Modeling the Earth—Moon Satellite Orbit.”: Bridging Mathematics, Physics, and Computer Science in an undergraduate research project “Modeling the Earth—Moon Satellite Orbit.”

Bridging Mathematics, Physics, and Computer Science in an undergraduate research project “Modeling the Earth—Moon Satellite Orbit.”
Bridging Mathematics, Physics, and Computer Science in an undergraduate research project “Modeling the Earth—Moon Satellite Orbit.”
  • Show the following:

    Annotations
    Resources
  • Adjust appearance:

    Font
    Font style
    Color Scheme
    Light
    Dark
    Annotation contrast
    Low
    High
    Margins
  • Search within:
    • Notifications
    • Privacy
  • Project HomeTouchstone - Spring Fall 2017
  • Projects
  • Learn more about Manifold

Notes

table of contents
  1. Bridging Mathematics, Physics, and Computer Science in an undergraduate research project “Modeling the Earth—Moon Satellite Orbit.”

Bridging Mathematics, Physics, and Computer Science in an undergraduate research project “Modeling the Earth—Moon Satellite Orbit.”

Alexander Vaninsky, Sc.D., Ph.D.; Daniel De La Cruz; Stephen Darko; Cory Tambourine; and Jesus Garcia.

his project is a part of the bulk of current research on finding extraterrestrial life and modeling its possible urbanization. The project is focused on a problem of rescue of the inhabitants in case of natural disasters or hostile actions of the

objects of different nature. A possible solution to the problem is launching a satellite on a stationary orbit, where it circulates for indefinitely long time, and is ignited and directed toward the Earth when necessary. Literature sources reveal that such ideas were in mind since at least the 1960s and were developed as a part of the Moon— Earth projects.

In the course of the project, students will study: 1) Dynamics of the movement

2) Modelling using differential equations and 3) Investigating the trajectories using Maple software. It was surprising to find that a satellite does not follow a regular path but moves alongside a “bus-stop” trajectory. This result, when originally found, was a surprise for NASA researchers as well.

The Earth and the Moon rotate with constant angular velocity about their center of mass. This point was chosen as the origin of both a fixed and rotating coordinate system. The total of the masses was taken as the unit of mass. The mass of the Moon became

Mm=0.012298, and of the Earth, Me=0.987702.

A unit of length was taken as the distance between the centers of the two planets: L = 384,400 km.

As a result, the unit of velocity is 2290 mi/hr = 3690 km/hr. The Moon’s rotational period of P = 27.32166 days was set up as 2π units of time

T. This resulted in T = P/2π = 4.3484 days, and the angular velocity

� = 1. Kepler’s Third Law states that P2=4π2L3/G·M, so in the new units, M=1, d=1, P= 2π, and G=1.

The dynamics of the movement is defined by the Law of Gravitation, which states that two bodies are attracted to each other with the force proportional to each of the masses and inverse proportional to the square of the distance between them:

This law was applied separately to the Satellite – Earth and the Satellite – Moon, resulting in a system of two differential equations of the second order in the fixed coordinate system. The initial conditions were set in the rotating coordinate system, since the positions of the Earth and the Moon are fixed: Earth (-0.012298, 0), Moon (987702, 0). To maximally use the rotation of the planets, the satellite starts with the farthest point and in the opposite direction.

In accordance with the Law of Gravitation, the gravitational force acting on each of the two masses m1 and m2, located at the distance d from each other at the points A=(Y1,Y2) and B=(b1,b2) is as follows:

The Second Newton’s Law in case of two forces reads:

Since G=1, we obtain a system of differential equations in the fixed coordinate system as follows:

Where vectors y, b1, and b2 are the locations of the satellite, the Moon, and the Earth, respectively, Mm and Me are their masses.

The relationship between the coordinates (X1, X2) in the rotated coordinate system and (Y1, Y2) in the fixed coordinate system is Y = AX, where A is a matrix of rotation with the rotational frequency � =1:

This matrix has the properties: A”=-A, A-1=AT, and

By using the transformation Y = AX, we obtain a system of differential equations in the rotating coordinate system as follows:

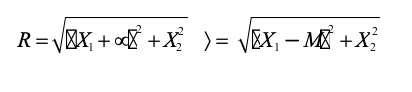
Where (X1, X2) are the coordinates of the satellite in the Moon-orbit plane, M = 0.987702 and µ = 0.012298 are the relative masses of the Earth and the Moon, respectively, R and p are the distances from the Earth and the Moon, correspondingly. The Moon and the Earth are located at fixed points (1-µ, 0) and (-µ, 0), respectively, and

The Maple script is intuitive and simple

Some results corresponding to different initial conditions are shown below: Graph 2R- Orbit 2.

Rotating Coordinate system (view from the Earth)

Initial height above the Moon – 673km; Velocity – 2174 m/s; Period – 23.9 days.

Graph 2F- Orbit 2.

Fixed coordinate system (view from Cosmos) Height above the Moon – 673km; Velocity – 2174 m/s; Period – 23.9 days.

Graph 3R- Orbit 3.

Rotating Coordinate system (view from the Earth). Height above the Moon - 673km; Velocity - 2072 m/s; Period - 50 days.

Graph 3F- Orbit 3.

Fixed coordinate system (view from Cosmos). Height above the Moon - 673km; Velocity - 2072 m/s; Period - 50 days.

What can we conclude?

  1. When viewed from cosmos, the trajectory has an elliptic shape. The shape is relatively stable in regard to the initial conditions—velocity and height.

  2. When viewed from the Earth, the trajectory has the “bus-stop” shape. The shape— the number and the magnitude of the loops—is strongly dependent from the initial conditions. The trajectory is unstable.

  3. Mathematically, this leads to the necessity of using the lazy computing principle that is postponing computing to the last moment and operating with numbers as symbols.

  4. Physically, this underlies the difficulties of targeting and the necessity of using the artificial intelligent systems for the adaptive correction of the flight.

Possible next steps

  1. To investigate a satellite that is starting from the Earth and heading towards another planet.

  2. Find a critical velocity that makes a satellite a cosmic body, rather than an Earth- Moon satellite.

  3. Think about the Earth as a cosmic vessel carrying the humans to some distant target.

  4. Develop an imagination of the speed that we humans are experiencing in the process of the Earth rotation around its axis and around the Sun.

  5. Think about extraterrestrial urbanization in a broad sense.

References

Arenstorf, R. Periodic Solutions of the restricted three body problem representing analytic continuations of Keplerian elliptic motions, Amer. J. Math. 85 (1963) 27-35.

Dormand, J. Numerical Methods for Differential Equations, CRC Press, 1996.

Edwards, C. Periodic Moon-Earth Bus Orbits. Available at www.math.uga. edu/~hedwards.

Edwards, C., Penney, D. Differential equations and boundary value problems. 4th Ed., NJ: Pearson, 2008.

Edwards, C., Penney, D. Calculus with Analytic Geometry, 5th edition, Prentice Hall, 1998.

Hairer, E., Norsett, P., Wanner, G. Solving Ordinary Differential Equations I, Springer-Verlag, 1987.

Merrifield, A. The Urban Question Under Planetary Urbanization. International Journal Of Urban And Regional

Research, 2013, Vol. 37.3, 909–922. Wiley Online Library. Available at http://onlinelibrary.wiley.com/doi/10.1111/j.1468- 2427.2012.01189.x/epdf .

Annotate

Individual Chapters
Powered by Manifold Scholarship. Learn more at
Opens in new tab or windowmanifoldapp.org